第20章 只可意会不可言传

一个好的记法可以把大脑从所有不必要的工作中解放出来,让大脑专注于更高深的问题……

——阿尔弗雷德·诺斯·怀特海

16世纪之前,几乎任何人只要有足够的决心,都能理解几乎任何数学著作的重要内容。准备好鹅毛笔和羊皮纸,一个安静的房间,打开窗户让清新的微风吹拂,足够的兽脂让蜡烛燃烧竟夜,再毫无顾忌地让思维纵横驰骋,就可能以自然语言写出数学著作。对任何希望解析数学的语法、动力、机制和逻辑的人来说,数学都是可阅读的。

《爱丽丝漫游奇境》中的《无聊诗》(Jabberwocky)开头是“备餐时光,软黏托佛”(Twas bryllyg, and the slythy toves) [1] ,给人留下一种印象,感觉像是对门外汉来说听起来艰深但合理的语言,就好像婴儿刚开始理解周围的声音时听到的感觉。听听接下来的诗句“在伟伯上仪转及锥钻╱贫弱到底的波若哥夫斯;╱迷途瑞斯的吼哮”(Did gyre and gymble in ye wabe / All mimsy were ye borogoves; / And ye mome raths outgrabe),隐然觉得似乎有些道理。当我们第一次遇到自己不了解的数学,或任何事物时,我们会像在读《无聊诗》。

到了18世纪,数学语言对于没有受过大量预备指导的人来说,读起来已经太过符号化。这不是因为符号的数量增加了多少。数量不是问题,而是初学者尝试理解新材料时,必须学习一种新的视觉语言。要理解这样的语言,需要运用非常特殊的专业知识或坚持不懈地工作。这个语言是看得见的,但其意义隐藏其中。包装在记法句子中的符号提供了大量信息,只有那些有时间、有天分或有耐心接纳这些信息的人,才能了解它们的内容。

当人们不懂某件事时,我们经常听到他们调侃说“简直像希腊文一样”(It’s Greek to me)。希腊文不是特别难的语言,希腊宝宝学习希腊文时,就像美国宝宝学英文一样容易。那么,为什么专挑希腊文来表示不理解呢?很有可能是因为希腊文写起来不像西方人非常熟悉的那些拉丁字母。那种对希腊字母的陌生感,本身就带着一种自我膨胀的无知。

数学符号原本是用来帮助我们理解的。它们意在帮助我们了解数学论证,让事情变得简单,慷慨地赋予我们精简的形式,以便我们在阅读数学时,对于究竟是怎么回事多少拥有一点直观印象。但就像我们难以理解的任何术语一样,数学真的像令人泄气的希腊文——部分原因是它们往往真的是 希腊文。

怀特海挑战我们说:

如果有任何人怀疑符号的实用性,请他在不使用任何不管什么符号的情况下,一字不漏地写出下列等式的完整意义,它们表示的是一些代数基本法则:

x y y x

x y )+ z x +( y z

x × y y × x

x × y )× z x ×( y × z

x ×( y z )=( x × y )+( x × z

……这个例子说明,借由符号体系之助,我们几乎可以凭眼见即机械性地进行推理的转换,否则就需要发挥大脑更高的功能。

尽管托马斯·霍布斯称符号为“论证的必要支架”,但他也写道:“相较于用文字书写,它们完全无法让读者更快了解[被符号化的东西]。”

对于线和图形的概念而言……必须运用口说或思维的文字来进行论证。所以花了双重的脑力劳动,一是简化你的符号成为文字,这种文字也是符号,一是理解它们的意涵。

在自然语言里,即使最精心选择的文字也会带着隐而未显的意义,那些意义具有操控推理的力量。我们从词典里学到一些词,而它们通过我们已经知道或我们可以查到的词来给出意义。我们理解(并学习)其他词的方式主要是通过适应含糊的意义,判断那个词的各种可能意义在不同语境下如何使用才是最好的方式。椅子和凳子、杯子和马克杯、门口和玄关,这些词之间有何不同?

数学符号有时也像这样带有隐而未显的意义,但它们的目的是带来纯粹的思维。从语境中了解一个数学符号代表什么是可能的。我们往往是从数学符号的定义来了解那些符号的意义——我们说往往 ,因为在正规数学中,不是每个人都能轻易领悟那些与熟悉的经验特质无关的定义。华威大学的大卫·拓尔(David Tall)和希伯来大学的什洛莫·文纳(Schlomo Vinner)在一篇划时代的论文中指出,许多待定义的概念,在给出任何正式定义之前,已经以个人图像的某种认知结构存在于头脑中。

符号语言当然促进了它本身隐而未显的意义,这些意义源于进入潜意识的富有想象力的灵光闪现,但那些最好的符号可以精准指明意义又让头脑得以在它类似语境模式的数据库中,快速来回比较、传递,以富有创造力的方式将未知的与已知的联系在一起。

数学使用符号是为了精确表达内容。达西·汤普森在其经典名著《生长与形态》(On Growth and Form )中问道,我们如何分辨彩虹的形状与软管喷出的水柱弧线的差别。它们看起来可能一样,甚至可能都出现七色彩虹。两者都是由水滴构成的。以日常语言来说,你可能会说它们是看起来很像的平滑弧线。

但通过符号的透镜来细看那些曲线,它们的形状大不相同。彩虹上每个坐标点(xy )都满足方程式 ,而水流弧线上的每个坐标点(xy )则满足方程式yax 2 bxc ,其中a,bc 是决定曲线起点与终点间的高度和宽度的固定值。一个是半圆,另一个是抛物线。不管如何修改参数a,bc ,这两条曲线都不可能重合变成一条曲线。

有了便利且适当的符号,我们就能专注于可能显现出来的模式、对称、类似和差异,这些在自然语言的透镜下会模糊不明。

以方程式x 2 y 2 xy +4为例。嗯……如果xy 项不在就好了,这样我们就会得到一个半径为2的圆,也就是x 2 y 2 =4这个方程式描绘出的圆。但xy 那里,那它是如何改变那个圆的呢?如果不以某种变换来简化这个方程式,无法分开两个以此方式纠缠在一起的变量xy 。然而,原始方程式中xy 的对称性,为我们提供了曲线几何的线索。如果将xy 交换,你会得到一模一样的方程式。啊哈!这不就表示说,这是对称于yx 这条直线的曲线?的确,将坐标轴顺时针转45度,用st 来表示新的坐标轴,原来的方程式神奇地变成了3s 2 t 2 =8。这个新的形式没有st 项,亦即st 没有纠缠地相乘在一起。在st 坐标上画出这个漂亮方程式的图形,那是一个以(0,0)为中心、对称于s 轴和t 轴的椭圆。

就像方程式x 2 y 2 r 2 的对称形式大喊着:圆!圆!xy 这个以乘法将xy 结合在一起的项也是,它马上对着我们的左侧大脑皮质尖叫:旋转!旋转!通过让xy 项消失,旋转45度解决了变量xy 的问题。

方程式中的对称,往往意味着可以通过那个方程式描述出某种在几何上对称的曲线。而这当然适用于我们的方程式x 2 y 2 xy +4。这个曲线是椭圆,对称于两条与水平轴呈45度角的斜线。

头脑可能无法很快判定这条曲线是个椭圆,但这个方程式迅速告诉我们:不管它是什么,它必须对称于yx 的直线,因为x与y 交换不会改变那条曲线,所有会改变的只有变量的名称。

把代数与几何联系在一起的潜在力量牢不可破,却几乎难以察觉。这些潜在力量使得代数的程序清晰可见。它们在我们的思维中赋予我们模式、联想、类似和不可思议的交会,而这些如果仅用文字会让人如堕五里雾中。接受怀特海的挑战,试着不使用任何不管什么符号,一字不漏地写出x 2 y 2 xy +4这个等式完整的几何意义。这当然可以做到,但是你的血压会爆表。

对称有许多不同的形式。一个老掉牙的好笑问题问“乔治·华盛顿的白马的颜色”,它确实诱使我们去探查问题本身再去找答案。当我们问一个平方是4的数的平方为何,我们就提问了一个反身自答的问题。用符号来表示,这个问题即是答案,答案即问题: 。表面上看,这种同义反复的等式并未问出新信息,也未问出任何信息。但如果我们用符号来表示,将它一般化到所有的正数,就像 ,我们富有创造力的天赋激发出类似的问题: 这个等式为真吗? 呢?对任意正整数n 呢?

由此,我们的天赋可能跃进到一种对符号 的全新理解。若x n 代表x 自乘n 次,且若对正整数nm ,(x n m x n×m ,则用符号 来表示 不是很合理吗?“该数的n 次方是x ”,假设这样的东西真的是个数的话。这样一来,代数证实了我们已知的东西,但也让它本身扩展到包含一种指数的算术。我们会得到:

从上述等式,小小跃进到了解当nm 是正整数时, 就代表 ,定义也小小飞跃到将nm 扩展至所有的整数。而由此,利用定义、推理和模式来导引出更有力的通则,了解符号体系和定义如何从一个聪明的想法到逐一建立下一个想法。

取幂和开方(taking powers and extracting roots)这美妙的符号形式,提供给我们指数算术的语法。因为它们的定义方式,取幂和开方互为逆运算。加和减互为逆运算,加一个数再减同一个数,会得到原来的数。乘和除也是同样的道理。一般来说,一个数学运算有逆运算时,它会很有用。这样的逆运算是解方程式的关键。举例来说,要解方程式x +2=4,我们在两边各减2,得到x =2。要解方程式x 2 =4,在两边各取平方根,得到x =±2。

数字已经进展到远远不同于计数那些早期的开端,计算出我们有十根手指、两只眼睛和一个鼻子。它们不再专指我们看到的东西,或我们需要计数的东西。现代的数学感兴趣的是看起来用符号来表示的定义、推理和模式。只要遵循了数学法则和符号语法,定义甚至可以与日常用语及直观概念抵触,特别是直观的物理概念。它们打开了通往可见的自然之外的逻辑世界的大门。没有什么比你开始想有理数之外的东西是什么更明显的进展了。唯有纯粹的数学语言,带着它高度发展的符号意识,能看见可见的东西之外是什么。

曾经,可能存在一个数而它的平方是负的这个观念,似乎远远超乎人们的想象。 这种想象的东西到底有啥用?用正确的符号语法来解方程式x 2 -2x -2=0,你会求得两个合理的解: 。但如果你试着用同样的符号语法来解二次方程式x 2 -2x +2=0,会出现什么事呢?出现两个奇怪的解: 。取其中任一个解,将其平方,减去本身的两倍,再加2,得到0。这些解个别看起来可能是无效的,但把它们相加,得到的只会是2。换言之,这个奇怪的项 在代入方程式的过程中消失了。

如果你刚刚来自16世纪早期,正在阅读本章,你可能会想到——你也应该想到——将 相加得到2,是一件可疑的事。这样的和意味着 。这为真吗?现代的答案是:“当然为真,xx 必须等于0,不管x 是什么。”这件事对遵循一般算术法则的数当然是正确的。但到目前为止,我们只知道 是源自将符号代数用于求解二次方程式之后所得的符号。我们知道 代表神秘的某物 ,而这个某物确定具有下列性质:“如果你把它自乘”,无论那是什么意思,“你会得到负数−1”。除此之外,我们对它一无所知。

你——来自古代的陌生人——可能会认为 是没有意义的解,因为没有任何明显的事实告诉你,真实世界有什么现象可以导出像x 2 -2x +2=0这样的二次方程式(以今日的记法表示)。如果你来自16世纪末,并且了解一些关于二次方程式在直角坐标系上的图示,你可能会说那个图形是一个抛物线,其最低点是(1,1),在x 轴上方两个单位的点。没有x 使得y 的值为0。

但思考得远一点。摒除直角坐标系,想想不同的情况。如果我们现在将所有形式为 的数纳入我们的数系,其中ab 可以是已经纳入实数俱乐部里的任意数,会怎样呢?你或许认为纳入那些数没有意义;然而,以符号的方式来看,不管这些东西是什么,它们在我们普通的数的语法(grammar and syntax)内的运作没有瑕疵。它们似乎遵循普通数的所有法则:两两相加、两两相减、两两相乘、两两相除,会得到形式为 的另一个数。相信所有的惯用法则都适用,然后做运算吧!但是为什么不像1,2,3……这类正规数,也不像稍微有点奇特的数π 那样,除了你开始习惯符号 的意象之外,你心中没有任何这个数所可以代表的清晰意象?

你可能认为 是早已存在的一个代表−1的平方根的符号,但它不是为了这个目的而造出来的。它是从尝试求解方程式的代数运算的结果中产生的。它看起来好像是运算过程中偶然将根号套在了负数−1上。不过,运用一点算术的巧妙手法避开细节,注意到形式为 的任意数,其中ac 为实数,都可以写成 ,其中ab 为实数。因此, 展现了实质的重要性,所以它值得拥有一个特殊的符号。我们用字母i 来表示它,灵感来自imaginary(想象的、虚幻的)这个词。以bi 形式表示的称为“虚数”,其中b 为实数;以abi 形式表示的称为“复数”,其中ab 为实数,“复”这个字的意思是表示混合实与虚。(不幸的是,“虚”和“复”这两个字在数学词汇里根深蒂固。之所以说不幸 ,是因为这两群数既不虚幻也不复杂。)

但令人意外的或许是,符号i (虽然它只是imaginary这个词的缩写)明显优于 。阅读数学时, 之间的差异,就像捏着鼻子吃草莓闻不到香甜的滋味,与正常呼吸吃草莓的差别。

数?为什么我们称这些东西为数呢?我们曾经认为数应该是某些东西的计数 ——手指、脚趾、羊、日子、德拉克马(drachma,古希腊银币)、眼睛、耳朵、鼻子。然后,我们认为数是某种事物的度量 ,可能是分数或无理数。但这些所谓的复数怎么用来计数或度量?也许我们应该称它们为“成对的数”,但就算这样,还是无法满足我们一般对何谓数的判断。它们甚至不是成对的数,因为有个麻烦的东西附加在第二个数上。

我们可以将整数想象为一条线。从0开始量单位距离,以这种方式把每一个整数定位好,正的整数放在右边,负的整数放在左边。这也适用于有理数和实数,它们可以写成无穷小数。在累积的文明意识中,我们似乎不断在追求数在头脑中的图像,即使那个图像是模糊不清的。但要让复数可视化,需要某种更富创造力的东西(参见附录D)。

数的概念曾经被表示为一个简单的形容词:“十(根)”手指。过了很久很久,它变成一个名词“十”,无关乎具体的量词。但自16世纪中叶后,符号大量涌入数学的语言当中,在概念上,数的定义被扩大,以便含括一种动作(act)或一个存在(being)的模式。现在我们有了i ,代表一种动作的一个数——旋转90度的动作。

关于那些复数:回想卡丹诺用来解三次多项式的公式带来虚数可能有作用的想法——尽管它们的名称让人觉得有点可惜——那时即使最权威的数学家和哲学家也被它们的神秘难解迷惑。部分原因归咎于它们显而易见很难应用。玫瑰如果改成任何其他名字,它将依然芬芳,那么 不叫作“虚”数而改称其他名称,也将依然真实。这是个倒霉的名字,不管它虚不虚。

负数是处理xab 这类方程式时出现的,虚数则来自x 2 ab 这类方程式。所以,一个方程式是否有道理仰赖于符号ab 的关系,以及负数平方根的正当性。当a 大于b 的时候,产生一个问题:有一个数自乘之后,结果是负的。这根本没道理,除非我们将负数的平方根纳入数字俱乐部。为了让这个没道理的东西变得有道理,我们必须回到数学的根本问题——何谓数?——使得所有形式为x 2 ab 的方程式的解都有意义。我们希望 有意义——永远 ——只要ab 为有理数。

也许,这个荒唐的符号i ,会以某种神秘的方式,拥有某种正当性,某种比虚幻来得真实的东西。也许那些奇怪、无意义的符号可以通过某种方式,导出问题的解答并产生有效的结果。

怀特海曾调侃道:

一个符号未经恰当地定义,根本不是一个符号。它只是纸上的一滴墨渍,有个容易认出的形状罢了。一串墨渍证明不了什么,只能证明有支坏掉的笔或一个粗心的作家存在。

复数xiy 最终变成了只是必须遵循一堆简单法则的实数对(xy ),它在解决流体流动、热传导、重力和几乎整个数学物理的问题上,都作用惊人。复数对的加和乘法则的图形表示出奇简单,而这样的运算的意义同样出奇简单。

一件关于数学的奇妙事情是——借由它的最佳符号——它的进展开阔了它的视野。任意实数乘上−1,就可以让每一个正数变负,每一个负数变正。从实数线的图示来看,你已经将原本的实数线整个旋转了180度,原本向右递增的数变成向左递增。在二维平面上,任意复数乘上i ,就会让它逆时针转90度。

当你试着根据三数组(xyz )建一个三维数系时,无可避免地最终得到的数系会有个称为“零因子”(zero divisor)(非零的数相乘为零)的讨厌东西,这让用来解方程式的正规代数一团混乱。因此,略过三维空间,直接到四维,这下一个维度可以形成一个遵循结合律的数系——其中a ·(b ·c )=(a ·b )·c ,没有零因子。当然,这需要付出代价:我们必须要放弃交换律——a ·b 不再等于b ·a ,不同于截至目前我们所碰到的所有的数的情况。

这种“四元数”(quaternion),如19世纪爱尔兰数学家哈密尔顿所称呼的,属于四维中的一种新数系,包含复数和一个乘法系统,遵循除了交换律之外的所有代数法则。哈密尔顿和妻子在都柏林散步时发现了这种四元数。“当下,我感觉思绪的电路突然中断,”他写道,“而从那里迸出的火花就是i,j,k 的基本方程式,此后我一直应用它们。”(更多关于四元数的讨论,参见附录E。)重新斟酌怀特海提出的挑战:试着不使用任何不管什么符号,写出四元数基本方程式的完整意义。


[1] 此处中译文引自林望阳译《镜中奇缘》,台北小知堂文化,2000年。——编者注

第21章 符号背后的意义

1706年,符号π 首度现身。威廉·琼斯(我们多少人曾听说过他?)用希腊字母π 来表示圆周长与圆直径的比,多简洁呀。“对于将这位来自希腊字母领域的尊贵访客带到数学史舞台上,没有为读者准备冗长的介绍词。它只是来了,无人宣达。”但接下来三十年,没有再使用这个符号,直到欧拉在与詹姆斯·斯特林(James Stirling)的通信中用到它。

我们可以指控π 不是一个真正的符号,毕竟它只是periphery(圆周)这个词的第一个字母。没错,但就像i 一样,它使人想起一些概念,而这些概念在使用有太多包袱的符号时可能不会显现。某些像“什么是i i ”这样的问题,可能未多加思索就脱口而出。纯数学探究这样的问题,是因为它不仅致力于符号化的定义和法则,也通过提出日常用语可能忽视的问题来看看数学的边界可以推得多远。你可能认为i i 毫无意义,认为那啥都不是,或可能是个复数。令人意外的是:原来它是个实数!

相较于我们第一次开始数草地上的羊时,数似乎有了一种更广泛得多的意义。我们扩展了想法,纳入各种各样的概念性事物,包括仍遵循数值运算法则的数字家族的那些不寻常的数。就像我们使用的许多词语一样,数所具有的意义已经比它曾经代表的意义更广泛得多。

马赫深思说:

只要想想那些数学家长期进行运算的所谓虚量,而且,在他们有立场对它们赋予一个完全确定且又能够可视化的意义之前,他们甚至已经从它们取得重要的成果。

坚持真实世界的相关性并不是数学家的工作,但这个世界似乎最终还是采用了数学的抽象概念和普遍原理,并将它们应用到某些与这个世界的存在相关的事物上。几乎整整一个世纪,数学家使用虚数的指数之后,一个新的概念萌芽了。于是,从曾经代表以前特别令人讨厌的 的符号i ,浮现出一个新观念:符号本身可以体现量值、方向和旋转。这就好像符号本身有某种智能。

什么是优良的数学记法?就像那些最发人深省的问题一样,这个问题的答案并非这么单纯。无论符号是什么,它必须发挥模式的启示者、一般化的指示者的功能。它本身必须具有智慧,或至少它必须支持我们自身的智慧,帮助我们思考。它必须能够指示即将到来的事物、标志崭新的想法、澄清难解的概念,协助克服不用符号而以文字表述或速记带来的混乱所造成的精神疲劳。它必须导引我们自身的智慧。

马赫又说道:

在代数中我们尽可能把形式上相同的数值运算一次全部解决,以便仅余一些工作待个别案例处理。使用代数和分析的记号,也就是仅进行符号运算,是因为观察到,通过手工处理所有的机械式运算,我们可以免除大脑额外的负担,用于更重要、更困难的任务。
学数学的学生常常发现很难摆脱那种不安的感觉,觉得他以他的笔体现出的科学超越他的聪明才智——伟大的欧拉坦言他往往无法摆脱这种感受。

单单一个符号便能述说整个故事。

第一次使用x n 来表示xn 次方,不是发生在某个时刻。邦贝利的 与笛卡儿的x n 之间,相隔了半个世纪。这个概念对我们来说或许显得清楚明了,但在乘积上用符号来标记x 复制了多少个,是概念的一大推进。读者不再需要数到底有几个x ,那种方式会让思考停顿,打断顺畅的阅读,阻碍可以扩展概念的任何具有联想性和类似性的广泛洞察。x n x m x n+m 和(x n m x nm ,其中nm 是整数,从指标符号就几乎可以马上看出这些法则。以 来表示 的想法随之而来,它产生自延伸x n x m x n+m 的法则,以纳入分数,因此

进一步思索n x 会是什么,必将引发如给定y 使得例如方程式y =10 x x 会是什么的问题。要回答这个问题,我们会得到用加法来执行乘法运算的方法。然而,对数的发明者约翰·纳皮尔(John Napier)根本早在数学有任何符号之前很久,就已经知道答案!

符号获得了它们原本不具备的意义。但同样,符号表示有其缺点,也就是很容易忽略被表示的对象,我们继续执行运算的符号常常没有任何对象与之对应。

马赫再次说道:

一个计算方法的符号化表示,对于数学家而言的重要性,就如同模型或可视化的作业假设对物理学家的重要性。符号、模型和假设对被表示的事物来说,功能是相似的。但是,这样的模拟,比起原先意欲采用的符号,可以自行延伸得更远或被延伸得更远。由于这个被表示的事物与表示的设计毕竟并不相同,一边会被隐藏的东西,在另一边却是显明的。

第22章 心理学家眼里的符号

……听!横冲直撞的雪!
被太阳惊醒的雪崩!它的重量,
经过三次雪暴冲刷,聚积成庞然大物。
成千上万的思想,在逆天的心灵中,
如同片片雪花聚集,直到某些伟大的真理
被松绑,而列国同声回应,
从根开始动摇,就像此处的山岳一样。

——雪莱《解放了的普罗米修斯》

青蛙轻易就能捕捉运动中的昆虫,却无视最肥美的家蝇正停在它的面前。苍蝇可以安然地在青蛙的背上爬,无须担心被猛然吞掉。放一盘死苍蝇在青蛙前面,它会像个花园石饰品一样坐在那里。那可怜的青蛙宁可饿死,也不会攻击那些不动的东西。

我家院子的池塘里遍布各种大小的青蛙。我看到一只青蛙,但它没看到我——没有真的看到。它的眼睛没动,但如果它的身体动了,它会重新定位自己,让这个世界跟着它一起旋转。从池边草地拔下一根长芦苇,非常慢地把芦苇尖端靠近青蛙的眼睛。保持稳定,那只青蛙会这样就坐在那里,就像是盯着池塘对岸。前后摆动芦苇末端,一个舌头迅速从那只轻易被戏弄的青蛙口中吐出,抓住那根芦苇。但一只昆虫通过它不眨眼的视线范围时,它大概会快如点357玛格南手枪射出的子弹一样突然抓住那只昆虫。

“它会失误吗?”我曾请教神经生物学家杰里·雷特温,他写了一篇影响深远的论文,讨论青蛙到底在看什么。“嗯,”他说,“只要是持续在它的视线范围内移动的东西,它都会记得,不会分心。”

青蛙看得到移动。它能够如此精准地抓住苍蝇,是因为在它的视线范围里没有其他会妨碍混淆它的东西。人类在白色或单色背景下抓苍蝇没问题,一旦苍蝇移动到背景混杂的场景里,我们就找不到它了。

符号提供了一片空白的背景,我们可以在那个背景中仔细思考纯粹的意义。就像透过青蛙的眼睛观看一样,符号帮助我们观察分辨构成要素:从可随意使用的东西中看到不可或缺之物,从一团乱麻中看到基本原理。

你如果把方程式x 2 ab =0放在我面前,我马上就知道 。但是,我也会看到一个正方形与一个长方形很想要互相比较。我看到一个小小的提问者在我心灵的那块白板前面扭动:“与长为a 且宽为b 的长方形面积相同的正方形,其边长是多少?”

我认识的每一个数学家都会看到同样的这个小小提问者。这就像把下面这段乐谱拿给一位音乐家看,或就这个问题来说,给任何看得懂乐谱的人看:

他的心灵会听到一段四个音“短―短―短―长”的乐旨演奏了两次,并知道这是“贝多芬C小调第五号交响曲《命运》,作品67”的开头乐旨。

我的小小提问者会让我的脑海中浮现出几种脑成像。可能有一个是几何式的,其中两个图形,一个正方形和一个长方形,我可以重组长方形而把它变成一个正方形,以此来比较两者。由于ab 没有特定值,只能用一种符号式的操作来进行。我会采用在学校里学到的代数规则:在等号的两边加上ab ,然后ab 开根号,得到

与此同时,我的头脑里可能立刻涌现出几百个特定的例子,立即搜寻这样的方程式出现的其他情况,其中a =…−3,−2,−1,0,1,2,3,4,π …,b 同样取值。那些特殊的情况会给我一些特定的长方形的固定意象。当a =3且b =12,将两数相乘,我会看出一个面积36平方单位、边长6单位的完美正方形。但若a =3且b =10,我会寻找一个面积30平方单位的正方形,不过有点不清楚这样的正方形边长会是多少。

此时,我的头脑必须进入一种次级模式。我必须思考如何开方,以及长年累积的关于开方的所有信息。唉!30的平方根是什么?如果我最近没有算过这个答案的话,这个问题真的很难。我会想到它小于5.5,且大于比如5.2。但接着我会告诉自己,我不是真的想知道它到底是多少,要么 这个答案就够好了,不然 也不错。

19世纪早期,德国博物学家戈特蒂尔夫·冯·舒伯特(Gotthilf von Schubert)撰写了一本极具影响力的关于梦的著作,据说该书影响了弗洛伊德和荣格。舒伯特谈到,我们以梦的视觉语言(traumbildsprache)来做梦,“一种高阶的代数”,而非用口说的语言。我们看到的图像是神话的符号和世界各地人们的仪式,但图像大多沉默不语。除了少数有言语活动的时刻,做梦的人发出的声音对任何醒着听到的人来说,都像是含糊的闷声。即使做噩梦惊声尖叫,在梦里也是无声的;痛苦的做梦者挣扎地发出最微弱的声音。

1940年,美国心理学家卡尔文·霍尔(Calvin Hall)和弗农·诺德伯(Vernon Nordby)开始收集梦。接下来三十年间,他们收集世界各地所有年龄的人的五万多个梦,汇整摘录了其中部分梦境。通过一种分类体系,他们发现这些随机从散布世界各地的不同族群收集来的梦,相似多于相异。

为什么梦的那些主题在世界各地这么多不同文化中反复出现?霍尔和诺德伯称它们为“典型梦”(typical dream)——“这些典型梦 ,我们会如此称呼它,是因为几乎每个做梦的人都做过这些梦。这些典型梦表达了所有做梦者共同的关切、当务之急和兴趣所在。它们可以说是构成了人类心灵里那些普遍固定不变的东西。”

为什么呢?可能的答案是,图像语言早于口说语言,而梦是集体潜意识的一部分——这是荣格的理论。头脑中的图像,曾经赋予人类一种用于生存的强而有力的原型语言(protolanguage)。曾有一段时间,人类思考沟通 时所用的声音不比猎犬吠叫声更复杂。最早的口说语言很可能是以单音发出的嘟哝声或表示需求的声音。鸟不会通过对自己啭鸣来思考 。鸟类根据可代表鸟巢的模型意象来筑巢,但不完全确定自己在做什么,但是鸟类筑巢是根据源自其中枢神经系统的本能感知的指示。它的日常行动带着一种物种特有的行为模式意义。

早在我们拥有任何今日我们会称为语言的沟通工具之前很久,我们的能力就演化到可以理解视觉意义。所以,我们会倾向于期待意象才是直觉认知最重要的部分,而非文字。我们可能无声地与自己闲谈、与自身对话,但我们所见的意象更为原始,我们不需要文字就能了解我们所看到的。我们可以用言语来解释我们的意象,但这样的解释对思维来说是不必要的。

意象和声音让看不见的思维的感官表达得以看见,让听不见的思维的感官表达得以听见。为了让感官思维发挥任何作用,必须有某种转换符码,将某种意象或声音带入意识中。意象是原始的。书写文字和数学符号则是发明出来的。在林中散步可以观察到许许多多意象——大小不一的石头、掉落的树枝、涓涓细流浸湿的叶子、绿草地、透过树梢瞥见的蓝天。这些都是无法言喻的。相反,它们成为意象,储存在大脑中凝视思想的部分,天知道那是在哪里。它们会变得混淆,然后通过与真实事件和心智意象的类似记忆做比较及联想,跟其他经验综合起来。

数学中的符号也许真的与来自感官经验的符号不同,也就是那些在梦境、神话、仪式和诗作中可清楚理解的符号,一如美国哲学家苏珊·朗格在她1967年的著作《心灵:论人类情感》(Mind: An Essay on Human Feeling )中所言。该书是她的最后一部著作,影响深远。然而,我们读方程式的当下——不管是简单的还是复杂的——意象(images)伴随着语言映像(verbal reflections)在头脑中形成,那些映像让人想到与以前曾看过的事物的多重隐喻连接和联想。有人可能会说,一个人的知识不过是头脑中意象与语言映像的总和。就像在林中散步一样,从集体的数学旅程中所有过去所做的符号探险里,产生了一个综合体,一种源自抽象化过程的综合产物。朗格于1954年写道:

[理解符号的力量]产生自一种无意识、自发的抽象化过程,这种过程无时无刻不在人类的头脑中进行着:一种在任何经验组合中认出共通概念,并据此形成个体观念的过程。

不同于视觉观念,语言映像需要一丁点的意识来协助克服其暂时性,然后它才可以形成意义并安全地储存在长期记忆里。朗格又说道:

意义的指定都不是约定的,在流逝的声音之外没有永恒,但那短暂的联想就是理解乍现的瞬间。那持续的效果是,就像说话对于心智发展最初的效果一样,让事物是可想象的(conceivable),而非累积命题。

我们无意识不自觉的思想与我们有意识的思想交互作用,为我们的思考赋予意义。如果没有真实世界的感官经验让人无意识想到的难以言传的感知,这样的意义由何而来?尽管符号和文字帮助形成我们的思想和观点,但只有符号能够将可传达的想法的复杂内容,具体表现为前后一贯的表达。当然,文字也能达到同样的效果,而且在说明思想和想法时是必要的。但由于文字只能一次飞快处理一种想法,在为了完整表达那个想法而不断袭来的文字冲击下,我们会迅速陷入混乱的困境。虽然数学中的符号经过定义它们的说明文字来严格定义,它们仍可让人认识到那些文字本身未能直接表达的暗示性思想。

谈到代数时,视觉概念超越了物质世界的任何类似性。这无妨,就像我们提过的,数学的工作不是关切物质世界,也不是关切我们所谓的“实在”(reality)。符号的一致性和意义是数学的基本要素。确定性亦然,想象力亦然,创造性过程亦然,假设亦然,超越经验的信念亦然,知识的冒险亦然。而以今日的复杂性而言,做数学没有比通过符号式的拟想来进行更好的方式了。

现今,数学表达的类型各式各样。有些是图像式的(iconic),它们就像它们所表示的东西。有些真的是符号式的。还有些是纯粹用于索引性的(indexical)。美国诗人及哲学家埃米莉·葛萝舒兹在她的著作《数学与科学中的表达及有效的模糊性》(Representation and Productive Ambiguity in Mathematics and the Sciences )中主张:“那些随我们支配的表达以及我们结合它们的方式,决定了我们可以如何有系统地阐述和解决问题,如何辨别项目和阐明程序,以及如何提供论据并给出说明。还有应该如何理解这些表达,它们的意涵和意义,必须在一种既有的解题传统中,适用于它们的用途。”

最近在一场于波士顿举行的数学研讨会中,我设计了一个符号认知的小实验,其中访谈了几位同事,他们都是数学教授。这项科学设计几乎称不上符合标准。在我的笔记本电脑屏幕中间是一个符号表达式,里面有一个平方根,还有一些平方。这个特定的表达式不是那么重要(参见附录C)。每次访谈一开始,我都会指着笔记本电脑的屏幕问道:“当你看到这样的东西时,你心里想到了什么?”在每一个访谈案例中,受访者都会一阵沉默,然后我会告诉受访者这没有对或错的答案。接着,他们会尝试作答,通常是与那个方程式的图形有关的某种几何论证。其中一个回答说“这可能与椭圆有些关联”,另一个回答“这是个圆锥”。

在某个时间点,一个明显的提示会以一个新的表达式的形式淡入屏幕顶端,并带着两个箭头直直指向原来的方程式。它会停留整整十秒。受访者直盯着屏幕,十秒后,方程式和箭头淡出。

我以这种方式访谈了九个人,其中只有两个人没有尝试将整个问题与问题所给的方程式图形联系起来。但显示了十秒那个淡入又淡出的奇怪方程式后,两个受试者就有了同样的想法。他们的答案正如那个提示所暗示的,是二次方程式的一般解。没有言辞显示那两个受访者注意到屏幕上那个淡入淡出的方程式。最后,我问每一位受访者,他们思考那个问题时,是否看到我的笔记本电脑屏幕上有任何不寻常的东西。他们睁大了眼睛。每一个人,包括例外的那两人,都说没看到任何东西淡入或淡出。

如果我的笔记本电脑是以文字表述而非符号来呈现那个方程式,会发生什么事?任何人都必然会将措辞转变为符号。但若我们仍生活在卡丹诺那个16世纪中叶的数学世界,那个时代的人只懂得以文字的方式表示的二次方程式解(就像婆罗门笈多甚至远在7世纪时所做的),从以言辞描述的我的淡入淡出方程式所做的提示,会这么联想到吗?

如同我的方式,问一个“当……时,你心里想到了什么”这样的问题,让我们回想到20世纪中叶社会科学实验是如何进行的,当时只有很少数的方法来测量反应。我的样本数太小,没有办法真正计算答案出现的频率。再者,即使样本数大得多,这个实验仍必须将两个现代的观念纳入考虑,这两个观念是关于新近的联想如何与大脑实时反应结合的。我们现在知道,我们都受到启动效应(priming effect)和锚定效应(anchoring effect)两者的影响,这两个潜意识的至高力量可以操控我们有意识的推理,它们受到广泛研究。

启动效应告诉我们,我们的行动和情绪受到我们对新近事件的经验影响。举例来说,如果你被要求在“S_ _P”的空格中填字,而若你刚好洗了手,你可能会写“SOAP”(肥皂);而若你刚好坐下吃了晚餐,可能会写“SOUP”(汤)。弗洛伊德学说也有类似的象征性关系,被要求想一个让你觉得羞愧的行动时,你会写“SOAP”,佛洛伊德的解释是,肥皂是被玷污的灵魂的清洁剂。

锚定效应不同。它无意识地将我们固定在一个小范围的联想里,倾向于将我们的看法与某种直觉的偏差紧紧固定在一起。回顾1974年时,阿莫斯·内森·特沃斯基(Amos Nathan Tversky)和丹尼尔·康纳曼(Daniel Kahneman)进行了一项实验,要受试者猜想在联合国成员中非洲成员的比例是多少。转动一个标记了数字0到100的轮盘。轮盘会在一个数那里停下——比如X 。受试者首先被问到,X 比问题的答案大还是小。接着,受试者被要求估计要比那个数增加或减少多少才是正确答案。结果很奇异,看到轮盘停在10的那一组,他们对联合国成员中非洲成员的比例的估计中值是25;而看到轮盘停在65的那一组,估计中值是45。正确答案是30。命运之轮怎么会与1974年联合国的成员数有关呢?

以问一个“当……时,你心里想到了什么”这样的问题来做实验时,我们应该了解,锚定和启动在实时的联想中会如何导致反应产生偏误时,扮演着重要角色。一个刚接触过某类想法的受试者,可能既被那个想法启动,也被那个想法锚定。然而,我确实认为,阅读数学符号时,启动和锚定会明确地引领至新的成果。阅读数学符号时,启动和锚定共同具建设性地引导我们通过连续不断相互竞争的联想,那些联想同时吸引某种优先的关注。锚定会把我们固定在当下的前述思想里,但阅读数学时这或许是好事。

认知心理学家基思·史坦诺维奇(Keith Stanovich)和理查德·卫斯特(Richard West)告诉我们,我们在两个层次上思考,他们将其标记为“系统1”和“系统2”,避免使他们的实验带有偏见。现在,我倾向于称呼它们为“自动模式”(auto mode)和“对焦模式”(focus mode)。自动模式不需要努力,也不需要做判断去控制意识,而对焦模式表示要努力控制,聚焦于思考的对象。我们可以沿着空荡荡的高速公路开车听音乐,一边跟问着2+2是多少的小孩说话。这不费吹灰之力。我们阅读比如你正在读的这本书时,同时使用了对焦模式和自动模式。我们阅读数学时,不管多么简单,我们都会用两种模式。我们使用两者,就是因为对焦模式会影响自动模式。怎么会这样?

克里斯托弗·查布利斯(Christopher Chabris)和丹尼尔·西蒙斯(Daniel Simons)的著名实验“看不见的大猩猩”(Invisible Gorilla),显示对焦模式可能会如何干扰自动模式。“不经心视盲”(inattentional blindness)这样的实验不是新发现——当注意力集中在一个目标上时,没察觉到可看见而出乎意料的物体。晚近有一些根据20世纪50年代和60年代进行的听觉研究和其视觉模拟所做的实验。查布利斯和西蒙斯的“看不见的大猩猩”实验很引人注目。他们请学生当演员,录制了一段一分钟的影片,学生分成两队运球和传球——一队穿白色球衣,另一队穿黑色球衣。受试者被要求默数穿白色球衣的球员的传球次数,忽略穿黑色球衣的球员的任何传球。影片一结束,受试者即说出他们计算的传球次数。在影片中途,一名女学生穿着全套大猩猩装走过球场,直接停在摄像机前方,捶打胸脯,然后走开。影片结束后,询问受试者一系列问题:

问:你在计算次数时,注意到任何不寻常的事吗?
答:没有。
问:你注意到任何不是球员的事物吗?
答:嗯,有几部电梯,还有墙上画着一些S。我不知道画那些S是什么意思。
问:你注意到任何不是球员的人吗?
答:没有。
问:你注意到一只大猩猩吗?
答:一只什么?!

大约半数受试者没有注意到那只大猩猩,一只大猩猩直接走过球场中央!大猩猩与这项任务无关,因此, 注意力不须放在那里,且因此,大猩猩是看不见的。

这项实验的目的不是要告诉我们,在我们做数学的时候,头脑如何运作;相反,它是要说明,当需要集中视觉注意力时,我们可能没看到意料之外的东西。但是,狭义地说,这确实适用于数学。我认识很多数学家,当他们深入思考一个问题时,不会察觉到房间里有只活生生的大猩猩。有多少次我不承认听过太太跟我说过某件事?大猩猩可能在房间里而我不知道,但若她碰到我正在研究的问题,她不需要捶打胸脯,便可让我知道她在那儿。

“看不见的大猩猩”实验只适用于对意外出现在视线范围内的物体的不经心视盲。数学问题里面 的大猩猩是什么?回到我在美国数学学会(AMS)与美国数学协会(AMA)联合会议中所做的实验。两个人看到了某种东西,让他们想到之前曾看过的某种东西。这九个受试者全部在潜意识中接收到相同的提示,是什么让两个受试者发现某种代数式的东西,而七个受试者寻求图形意义上的联系?或许这只是数学头脑类型的问题,就像庞加莱(Poincaré)所说的。他写道:

在我们的学生当中……有些人喜欢“用分析”来处理他们的问题,其他人“用几何”。前者无法“在空间中观察”,其他人则很快厌倦冗长的计算而变得不知所措。

这里有一些答案告诉我们,为什么有些人立刻借助几何空想,其他人马上诉诸分析。当然,有许多研究尝试理解直觉的心理学和神经心理学层面,以及涉及理解数学证明、技巧或计算的创造性天赋——20世纪早期的雅克·哈达玛(Jacques Hadamard)和庞加莱,20世纪的杜宾斯基(E. Dubinsky)和波利亚(G. Pólya),接着是乔治·雷可夫(George Lakoff)、大卫·格尔瑞(David Geary)、斯坦尼斯拉斯·狄汉(Stanislas Dehaene)、大卫·拓尔,以及当今的其他学者。但是,要解答阅读一段文字式叙述对比于它的等价的符号式叙述时心里想到了什么,关于这个问题,认知神经科学的实验现在仍处于需要审慎处理的婴儿期。我现在所谈的不是以某种颅相学的方式精准指出脑中的数学思想,也不是用脑中神经心理学高速公路上的某种GPS来定位数学思考。我的问题应该不会太难回答,不过看来它成了难题。实验心理学家也不会对这个问题有多大兴趣。数学认知实验真正的难题是,人类有太多相异又富有想象力的思维模式,无法让分析具有决定性又有趣。我们动脑思考的方式多少都有些不同,个中差异很精妙,利用丰富多样的思考形态,形成和说明了人之所以为人的可贵之处。

对于这样的问题,最有趣的缜密研究来自狄汉的实验室,巴黎原子能暨替代能源委员会(Commissariat à l’énergie atomique et aux énergies alternatives, CEA)的认知神经显像小组(Cognitive Neuroimaging Unit)。狄汉和他的学生利用脑电图(electroencephalographic)技术——根据脑部在活动时会产生电流的想法——来研究思考数字与思考文字时脑部活动之间的差异。他们在计算机屏幕上快速闪现印度数字和用文字表达的数字,以找出大脑需要花多少时间来判定4小于5,精确度达毫秒(千分之一秒)。有了一些惊奇的发现。

这个实验要求志愿者在屏幕上出现比5小的数字时,用左手按下一个按钮;出现比5大的数字时,用右手按另一个按钮。脑部的活动在头皮上所产生的微小电压变化,从六十四个头皮电极片上以毫秒为单位记录下来。前100毫秒左右,记录上的电位接近零;接着,后方的头皮记录到正电位,表示枕叶的视觉区域被激活了。在这个阶段,当视觉活动进行时,狄汉发现印度数字与用英文表达的数字之间的差异是无法察觉的。但另一方面,突然间,像“four”这样的词只在左脑开始产生负电位,而像“4”这样的数字同时在左右脑产生电位。

运用心智来判定一个数比5大还是比5小这一事件——从辨认数字到按下选择按钮的动作反应——一次平均用不到半秒的时间。所以过程中发生了什么事?大约在150毫秒时,一堆专门的视觉皮质区变得活跃,推测可能是辨认数值符号的形状时未赋予任何意义。接着,在大约190毫秒时,假定这时数值的量开始编码,接近5的数字与远大于5的数字之间出现电位振幅的差异;推测起来,远大于5的数字想必比较容易辨别比5大还是比5小。

先来谈谈第一个令人惊讶之处:虽然以文字表示的数字只让左脑产生负电位,以符号表示的数字则在左右脑都产生电流,但两者所形成的电位振幅是相似的。换言之,顶下叶区(负责语言和数学运算的区域)似乎能识别数的抽象量,而不考虑记法。

第二个令人惊讶之处来自做出动作反应的第一个微小瞬间,刚好就在比较完数字准备回答之后——也就是,从文字数字或符号数字出现在屏幕上之后约250毫秒到约330毫秒的时间。在那个瞬间,左右脑的前运动皮质区与运动皮质区之间似乎产生了明显的电压差。当一位受试者先准备好用右手反应,左脑的电极片会显示负电位;准备用左手反应,右脑产生负电位。这个受试者脑中花了约四分之一秒到三分之一秒的时间,来辨别那个文字数字或符号数字的形状,并解读它实质代表的量。

而接下来第三个令人惊讶之处是:平均而言,要再花50毫秒的时间,才能让手指肌肉收缩并实际按下按钮。即使是试着决定一个数字比5小还是比5大这种简单的工作,人们仍会犯错。出错时,额叶——与控制动作并抑制不必要行为有关的区域——立刻出现强烈的负电位,显示脑中尝试修正错误。这样的反应,发生在按下错误按钮之后不到70毫秒的惊人神速时间里,而这之所以令人惊奇,是因为它显示了对非预期反应的响应是一种心理动力的(psychodynamic)回应。

在狄汉的实验中,脑部活动的位置受到头骨往往容易扩散电位的影响而无法精确定位。要精准指出脑电活动发生的明确区域,需要更多侵入性的程序,那些程序涉及将电极片植入皮质区本身。这样的程序只有在特殊情况下才能进行,例如病人癫痫发作。1994年,耶鲁大学的特鲁特·艾利森(Truett Allison)和乔治·麦卡锡(Gregory McCarthy)以颅内电极探针进行了那些程序,结果精准定位出脑部视觉处理区的两个相邻区域:一个只对文字起反应,一个只对印度数字起反应,一个只对脸孔起反应。

狄汉、艾利森和麦卡锡不是意指脑部以某种颅相学的方式运作。他们知道即使是最简单的功能,也会激活大范围的不同大脑区域。他们知道脑部没有任何区域可以自行思考。尽管脑部没有一个单一区域可以执行甚至最简单的思考任务,但极短时间内的专门脑部活动,例如读一个词或进行一项运作,似乎确实有某种脑电活动集中的现象。狄汉认为,大脑是“迟钝代理物所形成的一个异质群体。其中每一个代理物都无法单独完成多少事情,但作为群体,它们就能各司其职来设法解决问题”。

毋庸置疑,阅读一段文字与阅读一段符号数学是有差异的。举例来说,这句“四加三与二的差再加一”,读起来跟[(3-2)+4]+1这句不一样。针对两者的差异这个问题,狄汉提出两个相互竞逐的问题:我们对数学式的理解是来自我们处理语言结构的能力吗?或者它与语言无关,是依靠某种视觉系统来解析数学符号串?

这个问题的答案缩小到数学是否原本是视觉-空间式的,或根本是语言式的。保有理解简单符号代数问题能力的失语患者与失智患者之间,似乎就有差异。大脑语言区外部病变的患者,有时很难形成印度数字及其对应的等价文字的概念。

狄汉具体探究受试者在处理1+[4-(2+3)]这个式子时眼睛的微小行为,以便研究脑部如何表示出带有所谓巢状相嵌的数学式,以及研究有巢状结构的符号数值计算如何与解析等价语言式密切相关。

阅读文本上的句子时,在实际读那个句子之前,我们必须留意句子中的标点符号。英文中“What”开头的句子,并不一定表示是疑问句。甚至我的微软Word拼写检查,都坚持这种句子是疑问句。

就像句末的问号,处理句子中的嵌套短语时,读者的眼睛需要稍微先于认知。威廉·福克纳著作《去吧,摩西》(Go Down Moses )中一篇题为《熊》的短篇故事里的一段句子,让我们全心全意读到句子结束。

有关大荒野、大丛林的谈话:白人愚蠢得认为自己已买下了其中的任一小块地,印第安人则狠心地声称任一小块地,一直都是他们用来转售的产业;比戴斯班少校跟他所宣称的一小块地还要广大——戴斯班心里明白他“拥有”森林地着实冒犯了人类,也侵犯一切心灵共同使用土地的自然权利。比从戴斯班少校得来的老托玛斯·沙班还要古老,而沙班也自己心里有数;甚至比继承老沙班的奇克索酋长老莫度比也要古老,而老艾萨克心里也依然有数。 [1]

诚然,福克纳的句子可能不是说明英文句的合宜范例,因为福克纳往往想把整个世界放到每一个句子里。但我宽恕你。这个故事里还有一些更困难得多的句子,有一段可能是美国小说中最长的句子(超过一千六百个词)。所以容许我花一点时间再读一次上面那段句子。解析福克纳的句子,需要在阅读时大幅超前目光所至的范围,可是那个句子读起来却很有道理。

一个数学式的范例如下:

4(3 x 2 +2(-3+(2-3+(2 x +1) 2 +1) 2 )-4)

只有在眼睛已经扫描过这个式子,寻找嵌在最里面的有意义运算,也就是2x +1之后,才会开始进行运算。整个式子一般不是从左读到右,尽管可能在往右阅读的过程中已实时做了扫描。

关于人们如何理解数学式这件事,我们了解得不多。近来,出现了一些涉及功能性磁共振成像(fMRI)、脑磁图(MEG)和脑电图(EEG)的实验,以测量进行简易代数及在符号处理任务中的反应的认知时间线(cognitive timeline),也就是测量处理初等数学式的脑部位置和速度。特别是卡内基梅隆大学的杰瑞德·丹克(Jared Danker)和约翰·安德森(John Anderson)利用功能性磁共振成像及脑磁图,研究受试者求解有三个项和一个未知数的线性代数方程式时的解析速度。他们尝试将脑部两个区域中的活动分离出来:顶叶皮质(parietal cortex)和前额叶皮质(prefrontal cortex)。顶叶皮质位于额叶的后面、枕叶的上方,主要功能是整合感官信息——特别是整合视觉上感知到的空间感和导航(方向)感的数据。前额叶皮质(额叶前部)正好在运动区和前运动区的前面,功能是协调结合复杂的认知行为,从相互冲突的想法中选择采取哪一种行动,例如好或坏、同或异。

丹克和安德森利用代数符号运算任务,检验在解方程式的两步骤认知程序中大脑的两个区域,用时间序列分离出表征转换以及从记忆中提取数学知识。第一个步骤涉及顶叶皮质,此时处理视觉接收到的信息,一个意象表征做了转换。第二个步骤涉及前额叶皮质,此时它接收到转换过的表征,并将其带入数学知识的提取区,这些知识与这个问题已进行了处理的表征会相互影响。这个两步骤程序持续来回进行。举例来说,当这个刺激是解像 这样的方程式,就会从前额叶皮质的数学知识中提取出8-2=6这个差;顶叶皮质转换这个方程式,将它编码为 ;前额叶皮质根据这个转换,提取出3×6=18这个乘法运算;最后,前额叶皮质转换这个方程式,将它编码为x =18。在每一个步骤中,大脑的这两个区域都进行不同的行动,但在数学思维的提取与表征之间,有着密切的交互作用关系。

蒙纳士大学的安东尼·詹森(Anthony Jansen)、金·马里奥特(Kim Marriott)和格雷格·耶兰德(Greg Yelland)研究过有丰富经验的数学使用者如何理解代数式。他们设计了一些关于记忆的任务,检验数学语法在将代数式编码的过程中扮演的角色,并做出结论认为,经验丰富的数学使用者对于之前看过的式子,有优良语法者确认起来比不良语法者要轻松得多。他们发现,代数式的编码主要是根据超出视觉处理层次之外的程序来进行。举例来说,优良语法形式的字符串7-x 比不良语法形式的字符串如“7(x ”更容易让人回想。下面这件事或许更让人惊讶:在“4-x 2 y -7”这个式子中的4-x 2 ,比出现在4-x 2 y -7)这个式子中的4-x 2 ,更容易让人回想。

蒙纳士团队后来通过检查眼睛扫描过符号的顺序,以及测量眼睛持续注视的时间,来研究经验丰富的数学使用者如何解析代数式。

阅读文本时,我们常常会在从句和句子的结尾停几毫秒。这似乎是非常自然的事,它符合我们说话的方式,一连串名词、一两个动词,连着修饰的形容词和副词,也许还有个代词,所有这些都来自将组成要素缩略纳入的一种想法。我们这样做不仅有助于口语沟通时的呼吸换气,也将句子的结构,传递为文字形式及其在句子中的相互关系的一种配置。我们可能没有想到阅读一个数学式时有相同的阅读模式,但蒙纳士团队发现,我们阅读数学式时似乎采用了某种类似的做法:在一个算术句结尾的符号,被注视的时间明显比在算术句开头或中间的符号长得多。这显示出,我们是通过代数式的语法来“读”那些式子,就像我们读自然语言的句子一样。

狄汉的实验检验了受过数学训练的受试者在计算4+[3-(2+1)]这种巢状算术式时,所测量到的眼部运动。眼睛会往最里面那层(2+1)移动,且继续移到其他层,以完成计算。换言之,发现最里面那层是瞬间的事,几乎没有从左到右读那个式子,不像如果你把式子写成文字形式时我们的阅读方式。这表示受试者快速解析一开始的字符串语法,在眼睛移动到语法层系接下来的层级之前,在每一个步骤,把运算符号和括号当作线索,恢复数字等式,以便做计算。

受试者很年轻(十九岁至二十七岁),曾在法国的大学接受一般的数学教育。那些字符串都使用四个数字1到4,加上两个加号、一个减号和两对括号。复杂度分为四个层级,标记为0到3。最高层级是3,显示了如[(3-2)+4]+1这样一个数学上有效的项目字符串。层级2是将外层的括号对调,打乱它们外面的符号,例如“)(3-2)+4(+1”就是这样的字符串。层级1是将内层的括号对调,打乱它们外面的所有符号,如“+)3-2(4+)1(”。层级0是打乱所有的项,成为数学上没有意义的字符串,例如“4-+)3)(+2(1”。

狄汉的团队发现,受过数学训练的受试者对数学式的复杂度特别敏锐,而复杂度效果发生的位置是在位于典型语言区外面的一组皮质区。解析数学式最早是从视觉处理过程中开始,而那个区域非常依赖梭形皮质(fusiform cortex),也就是涉及从形状意象中看出文字、辨识视觉世界及从视觉上辨别有良好构造的数学符号串的一个脑部区域。

看来特殊的记法组合可能有助于我们辨识数学式的结构并处理方程式——举例来说,不适当的空格可能会混淆了语法结构的空间配置,例如2+3×4可能得出与2+3×4不同的答案。所以,处理数学式的早期阶段或许更像处理文字的早期阶段,两者都是先确认式子的各部分来判定它们是否有效,然后才会进入语法解析阶段。

曾经有一段时间,甚至最权威的语文学家都认为,唯有凭借着语言,人才能思考。所谓语言,那些语文学家指的是文字。19世纪伟大的德国语文学家马克斯·缪勒(Max Müller)说:“我们可能感觉得到黑暗,但直到我们给黑暗一个名字之前,直到我们能够分辨黑暗是不亮的东西,或者光亮是不暗的东西之前,我们不是处在知识的状态之中,我们只是在一种被动的恍惚状态。”我们从那种恍惚状态,经过了长足的进步才走到今天。那么动物的思考又如何呢?


[1] 此处译文引自黎登鑫译《熊》,台北桂冠图书公司,2001年初版第二次印刷,1—2页。——译者注

第23章 符号与意向

多年前,在科德角的几个夏天,我沿着一条土路慢跑下来时,会遇到一只拴住的大型德国牧羊犬,它会对我长吠“grrrrrhoff”——就那么一声。我会非常小声地响应一声“whoof”,这是我想象中狗儿打招呼的方式。进入夏季几天后,这只狗停止了低吼,只是看着我经过。

它的脑袋里发生了什么事?它一定知道是我经过,而且我是友善的,还会发出就像它那样的声音。所以,它的脑中是什么东西让它知道那是我呢?我的意思是……它脑中的记忆库里必定有某种图像,来比对我和其他每天早上经过的事物……不是吗?在我慢跑回来时,那只德国牧羊犬从很远的地方注视我,好像等着再看到我。它没有吠叫。亚里士多德认为,若没有意象,思想不可能发生,所以或许我的犬科朋友是在把我和它小脑袋里图像思想的档案做比对。它还能怎么想呢?

维特根斯坦告诉我们:“我们为自己制作事实的图像。”对他而言,那个图像是实在(real)的一个模型。“留声机唱片、音乐思想、乐谱、声波,彼此都具有语言和世界间存在的那种图式的内在关系(pictorial internal relation)。”

当我用文字来思考,那些文字在某种程度上会进入意象,但也可能不会。听广播与看电视是有区别的。当我看电视时,我看到的是图像;当我听广播时,我制作图像。当我做数学时,阅读符号,或只是在头脑中将两数相乘,我没有真的将那些数变成图像,但我认为我有。这是怎么回事?

这就仿佛我以含混不清的符号来思考,尽管我没有真的将那些含混不清的符号变成图像。那些图像在那里,但又不在那里。当我试着想象一个三角形,我并没有三角形的一个清晰图像,只有一个隐约的模糊意象,或顶多是三角形的一个抽象表征,可能看起来不太像三角形的某个符号,但为了代表那个三角形而存在的某物。为什么那个符号不该是三角形本身?还会有什么更好的符号?

每个人都是不同的。有些人是视觉思考者,有些人是言辞思考者,还有些人可能有难以描述的思考模式。19世纪的语文学家和心理学家声称,唯有凭借语言才可能思考这件事情是“一个事实,无须论证”。我们现在懂得更多了,见到我就低吼的朋友可能是以嗅觉来思考的。

遗传学家弗朗西斯·高尔顿(Francis Galton)说过,他几乎从未靠文字来思考,而在那些罕见的时刻确实用到文字时,它们只是一些没有意义的文字,就像是“伴随着思想的一首歌的音符。它通常发生在努力工作,获得极为明确且让我满意的成果之后,我试着用语言来表达它们时,我觉得我必须先让自己置身于另一个完全不同的智慧层面”。

至于文字,法国数学家雅克·哈达玛宣称,就像高尔顿所说的,文字既未伴随着思想发生,思想也未伴随着文字发生。

当我真正在思考时,我坚持那些文字要彻底从我心里消失……即使读到或听到一个问题之后,在我开始仔细考虑它的那一刻,每一个字都会消失;在我完成或放弃那个研究之前,文字不会重新出现在我的意识中……而我全然赞同叔本华所写的:“思想被文字体现的时刻,它就会死亡。”

他接着说,这也是他思考代数符号时的情况。他告诉我们,他将整体的观念表现为范畴圆圈A和B,使得若A里的每一个东西都在B,那么,可以想成A是在B里。若A里没有任何一个东西在B,那么,两个圆圈是分开的;这里没有涉及任何文字,尽管可能任何关于圆圈的思考需要有一瞬间闪过文字。想象一下,试着以逻辑的方式来理解刘易斯·卡洛尔(Lewis Carroll)一段迷人的三段论法,这段文字出现在他的符号逻辑书中:

没有一只爱吃鱼的小猫是不能教的。
没有一只没尾巴的小猫会跟大猩猩玩。
有胡须的小猫都爱鱼。
没有一只可教的小猫有绿眼睛。
没有胡须的小猫没尾巴。

花一点功夫,我们可以制作出有数个圆圈的一张图,来解答这个三段论法。若不用那些圆圈,或没有某种高度发展的非言辞组织模式(nonverbal organizing scheme),来对头脑说明这五个句子的逻辑,要花多长时间才能得出逻辑结论,也就是“没有一只绿眼睛的小猫会跟大猩猩玩”?

更具启发性的是,哈达玛在他证明质数有无限多个的步骤中所呈现的心智图像:

考虑2到11之间的质数,他看到的只是“乱糟糟的一团”。
当2到11之间的质数相乘为一个乘积,也就是2×3×5×7×11,他想象到“距离那乱糟糟的一团相当遥远的一个点”。
当他在那个乘积上增加1,得到(2×3×5×7×11)+1,他看到“比第一个点稍微远一点的第二个点”。
他看到的那个比第一个点稍微远一点的第二个点的数,若非质数,就必须包含一个质因子,而因此必须是一个比11大的质数。这时他看到的是“在那乱糟糟的一团与第一个点之间某处的一个点”。

每当我的论文指导教授迈克尔·阿廷提到数学家所谓的阿贝尔簇(abelian variety)时,他都会画一个弯弯曲曲的图案,看起来大概像 ,就像他的首字母缩写。它没有什么图形上的意义,当然也不像阿贝尔簇实际的样子。但直到今天,每次听到“阿贝尔簇”这几个字,我心里就会想起那个弯弯曲曲的图案。在许多方面,它正是哈达玛那个带着显而易见的含混与有用勾连的“乱糟糟的一团”。

这里有趣的是,那些距离乱糟糟的一团无论远近的代表点,都没有可分性,也没有具质数性质的要素,就像阿廷那个弯弯曲曲的图画不像代数簇。就这一点而论,它们在概念化的过程中,扮演的是引人误解和富有想象力的角色。所以,这样一个模糊的表征模式,如何有助于完全仰赖可分性(divisibility)的逻辑程序呢?虽然哈达玛的意象似乎少了因子的性质,但它提供了一个机制,可以同时检验论证的所有要素。他需要这个意象,来让那个问题看起来有特色、具结构,有一种特性。

我花了一段时间思考这个问题,因为哈达玛的答案并不让人满意。对年轻数学家的学习来说,质数有无限多个的证明,是其中一个他会很早就学到的好证明。一个真正有天赋的年轻数学家,可能不需要参考别人的证法,就能证明这个问题。我学到的第一个证明是2的平方根不是有理数,第二个证明是质数有无限多个。所以让我来回答这个问题,当 重读质数有无限多个这个证明时,我的 心里在想什么。尽管我的数学头脑远远不及哈达玛那么敏锐,我的想法还是在某一方面与他极其相似。

我也看到了那乱糟糟的一团,就像那只是一堆乱七八糟的东西,还有那些远的和近的代表点。一个不同的地方是,我可能稍微更像个文字思考者,所以我使用了真正的符号,来窥见那乱糟糟的一团。你可能会说,我那一团看起来没有那么混乱。进行到最后一个步骤时,要找一个比11大的质因子,我看到在那乱糟糟的一团与第一个点之间某处,一个真实的数标记为问号。我猜想原因是——不像一个点——问号在思维上可能有除法的性质,但一个点(对我来说)不过是一个占位符号。

是无理数的证明有不同的思维特点。它是所谓的归谬法,方式如下:假设 是有理数,所以 ,其中pq 都是整数,且q 不等于0。又假设 为最简形式,所以pq 不会都是偶数。将最后一个等式的两边平方,可得 。两边同时乘上q 2 ,得到p 2 =2q 2 ,因此,p 是偶数。因为p 是偶数,它可以写成2s 的形式,其中s 是某整数。将等式 中的p 用2s 取代,使得 。将等式两边平方,得到 。然后,化简此式得到q 2 =2s 2 ,这表示q 也必定是偶数。这与假设pq 不会都是偶数矛盾。QED(故得证)。

接下来谈的是我头脑中发生的事。我其实看到了这个等式 ,就像(我相信)任何人都会看到一样。不然,符号方程式要拿来干啥用呢?平方的运算也是符号式的,但接着我在我的文字思维中看到 一团的许多平方数,从4,9,16,25和36开始,最后是一片模糊的更大的平方数,如100,121和144。这并非好像印度数字真的出现了,而就像我就是知道那些数存在。一旦等式被平方之后,根号消失了,而我突然看到p 出现在代表所有偶数的那些点的圆圈里。事实上,p 2 是偶数并没有发挥作用。我的思维跳过了从p 2 是偶数推出p 是偶数这个步骤。或许是因为我这辈子已经如此频繁地用过这个推论了,我根本不用去想,它已经成为我毋庸置疑的知识集合体的一部分。

当然, 是无理数这一证明,也成为我毋庸置疑的知识集合体的一部分——我对大一新生证明过无数次了。所以为什么不把这个证明本身想象成头脑中模糊不清的一团,可以在必要时让它变得清晰?它的确是的!这就像所有其他经过充分学习和反复操作的事一样;某个位于边缘潜意识的模糊东西可能表现为一个袋子,袋子里装了与那个简单的归谬法相关或有联系的一切事物。这是一个永远可以加料的大锅,酝酿着记忆。

谁会知道一个人思考模式的内在想法或内在挣扎呢?了解自己的想法已经够难了。我们也许能知道脑的成分及其功能,知道接受功能性磁共振成像扫描的受试者听到高兴的消息时哪个部分会亮起红灯,或者知道接受正电子断层扫描(PET)的受试者必须做有风险的决定时哪个部分会亮起蓝灯。不管我们对脑和它如何运作了解多少,我们都无法更清楚知道一个个体如何思考。这真奇妙,不是吗?

我问过我的学生他们如何思考字母表、季节或月份。每个学生都有不同的模式。我的字母表是在一块中心点为M的平衡板上,我想可能跟我的姓氏有关。当我先扫描M左边的字母时,这块板子的左侧向下倾斜;一旦扫描超过M之后,板子的右侧向下倾斜。这就好像我在板子上用我的扫描把这些字母向下压。或许我就是在跷跷板上学会怎么拼我的姓氏的。但当我必须查词典或电话簿时(我是说纸本词典和电话簿),不会有意象出现。奇怪的是,在微调找到确切位置之前,我似乎知道我的位置,而且可以直接迅速移动到我想找的词或名字大致的位置。

而月份更奇怪。地面上有个瓷砖拼出的大圆,瓷砖上标记了各个月份的名称。我正站在距离现在的月份正好六个月的瓷砖上,沿着圆的直径看向现在的月份。我所在的瓷砖位置是早六个月还是晚六个月,似乎不是那么重要。我不知道这个奇怪的月历模式是怎么来的。我的学生当中没有人曾经用这样的方式,来表达他们对月历的时间感。

从我刚刚所说的来看,会觉得我似乎是用字母和文字来思考。并非如此。

文字——如果真的存在——是头脑中的一团雾;整个思考过程是瞬间发生的,不可能自我评价自身的思考过程。文字、图像或其他任何东西,可能是这个过程的一部分,但是它们就像一首钢琴协奏曲中的个别音符——一旦奏起小节,耳朵随之聆听。

第24章 结语

那些语言文字,不管是书写的还是口语的,在我的思考机制里似乎不扮演任何角色。作为思考要素的那些实体似乎是某些记号,以及多少算是清晰的意象。

——爱因斯坦

我们以不清晰的图像、模糊的符号——存在,但又不存在——思考让我们得以处理日常事务的知觉和印象。在文学作品中,意识的轨迹会持续一段时间。读陀思妥耶夫斯基的《罪与罚》,直接看拉斯柯尔尼科夫挥动斧头劈了老妇人的头那一段。当我们继续往下读时,那柄斧头扮演什么角色?为什么陀思妥耶夫斯基决定那个老妇人应该被斧头劈死,而不是死于枪下或被拨火棍打死?如果使用的是另一种武器,我们的心理会做何反应?解答就在攻击头颅的手段。头颅粉碎的意涵与痛打致死大不相同。这让读者心里产生矛盾的情绪和冲突的意象:一具血淋淋的尸体与顷刻间的人道死亡。

数学中也有类似的事,我们的表达方式导致相互竞逐的感知,可能形成了我们所倾向的思考方式。我没有办法证明这一点,所以我只能提出我的想法:符号包装了隐藏在背后的潜意识所暗示的引诱,而头脑中则涌现几百个特定的例子,立即搜寻这样的方程式出现的其他情况。为什么不呢?数学文献中充满了用简单的符号建立的方程式。那些方程式本身就成为有意义的符号,提供了与一种想法强而有力的连接,也就是某无害的事物会在看似无关的领域里一次又一次出现,有时则将稍纵即逝的思想与恒常的真实世界联系起来。

几乎所有的思考都是多轨的,一轨是有意识的,其他则否。在一个轨道上,很多动作让逻辑顺畅进行。在另一个轨道上,有一切事物的潜意识记忆,那个记忆显示了与过往的连接。而当看到一些较复杂的方程式时,无数的交感神经发挥作用,能够通过潜意识的轨道传递意义,那些轨道标示着某种连接,连接到与读者曾看过的所有那些跟经验更吻合的时刻,或是富有创意的可能性的深层潜意识思想。

阅读通常既是一种认知活动,也是一种情感活动。我们可能会读到对我们的意识不具符号意义的文字和短语,但我们发现意义是在潜意识的层次。我们不需要知道我们所读的每一个字或每一个短语,也能理解意义。文学中的意义来自联想的经验。而有时,阅读数学和物理也是如此。

数学符号与诗中的符号不同,数学符号始于数学家的刻意设计。这不会阻碍符号发挥诗中的符号那样的功能:把经验与未知连接起来,也让隐喻的想法能转而传递意义。

就像诗一样,数学中也有原型(archetype)。如果有不证自明的真理那回事,那么,或许在我们出生时,就知道了一些关于这个世界的事。

20世纪50年代,罗伯特·佛兰兹(Robert Frantz)、马克·伯恩斯坦(Marc Bornstein)、埃莉诺·吉布森(Eleanor Gibson)和其他心理学研究人员所做的婴儿实验,改变了我们关于初生婴儿如何对不同模式做出反应的看法。他们发现出生才八周的婴儿,对某些模式已经比对其他模式更感兴趣。这在当时是一项令人兴奋的发现,因为它提供给我们证据,说明从非常小的时候,我们为了建造周遭的世界,已经开始解析我们看到的一切;婴儿自动地被某些现实世界中的特定结构模式所吸引,而这些模式不断地刺激他们的神经系统。换言之,婴儿产生兴趣的行为,直接受到他所生活的世界中的结构控制。深层的结构支配了我们的行为,并连接了我们的阅读和思考、意识和潜意识的双重轨道。

柏拉图的对话录《米诺篇》(Meno )中提到这一点。那段对话是关于德性(virtue)是否可教的,但它使用了证明灵魂不朽的论证。为了证明这一点,苏格拉底找了一个未受过教育的奴隶男孩来询问。经过一连串问答,在没有任何人帮助的情况下,苏格拉底让这个奴隶男孩推理出关于勾股定理的事实。 [1] 他能够做到,据说是因为他出生前就已知道那些事实,而他可以从前世的记忆中唤回那些知识。

这很接近弗洛伊德所谓的“人类种系(human phylogeny)的集体潜意识”。当然,弗洛伊德避开了灵魂的说法。对他而言,灵魂不是灵性的,而是整个人类种族的集体潜意识——潜意识记忆代代相传,通过民间传说、宗教,以及累积起来的如何在环境不断变动的世界中生存的一般知识。这就是我们何以知道两点间存在唯一的一条直线 ,还有大毒蛇的出现可能意味着死亡、冥界、性、生殖力、疾病或治疗。大毒蛇不会出现在数学中,除了我知道的两个例子,如蛇般弯曲的图示指出如何在坐标格子图中挑出项目。然而,那些据以建立我们的算术和几何公理的不证自明真理,来自人类种系的集体潜意识,也是承继而来的符号的根源。

符号超越了沟通媒介的角色。它们在我们的语言中无所不在,并且在将数学意象连接到意识和潜意识、熟悉和未知当中发挥了相当大的作用(虽然或许不是核心),让我们的文化╱情感的倾向富有意义,所有这些都促进了这个具有创造力的过程。

两点间存在唯一的一条直线 这个数学短句,相较于罗伯特·佛洛斯特(Robert Frost)的诗作《未竟之路》(The Road Not Taken )的第一行 [2] ,并没有更不像符号。它们都因来自集体潜意识中最具支配性的潜意识力量而显得与众不同。尽管来自民间传说的古典原型符号类型当中,比如大毒蛇、鸽子、狮子等等,一般不会看到数学符号,但这些数学符号还是帮助我们把未知与熟悉联系起来。在物理中,我们有麦克斯韦方程式:四个相互关联的方程式,告诉我们电场、磁场与电荷密度、电流密度之间的关系,还有它们如何随时间变化。就像任何伟大的诗作一样,麦克斯韦方程式告诉我们的远超过语言所呈现的内容。它们形成所有电力学和光学的基础,甚至引发了关于相对论和量子力学的创造性思考。

在自然语言中,日常文字描述了我们所见、所思或想象的事物。它们具有创造不熟悉的世界的力量,并且将它们带进我们的想象里。进入那些世界只需要少数特殊技巧,除了那些来自一个文化中其他人的技巧之外。要得到那些技巧,我们需要的只是身而为人的经验。

数学不同。它通常需要技巧,有时要有天赋,还往往经历经年累月的不寻常体验。我说“通常”,是因为许多非常杰出的数学家和物理学家年轻时看不出有明显的数学才能。虽然数学多半使用符号语言,解决了复杂的赘语以简化沟通,但它也利用了一种快得惊人的心智过程,解释基本要素的合理性。而就像诗一样,数学使用一种语言结构,帮助读者了解隐藏的意义,以及用言辞难以想象的东西。

数学使用的典型符号包括运算、群集、关系、常数、变量、函数、矩阵、向量,以及集合论、逻辑、数论、概率和统计所使用的符号。个别符号对数学家的创造性思考可能没有太大作用,但组合起来,它们可以通过相似、关联、等同、貌似和重复的意象,获得强有力的关联。它们甚至会创造出我们没有察觉到的想法。

每当 这个形式出现在方程式中,数学家就“知道”它表示某种度量(metric),可能是在某个坐标系统中的距离。这自然来自勾股定理,这个定理说明坐标为(ab )的一点到坐标为(cd )的一点的距离是 。在更高维度中,这个形式可以变成 ,或是超过三个平方项和的平方根。这样的形式可能不是源自任何物理性质,但读者可以通过几何模型激发的关联性来解释它。举例来说,半径为R 的圆是由坐标平面上满足方程式 的所有坐标(xy )所成的集合给定的。它把某个稍纵即逝的想法与一个几何意象联系起来。尽管来自民间传说有着潜意识力量的古典原型符号类型当中,一般不会看到 ,但它还是帮助我们把未知与熟悉联系起来。

有些数学符号一开始是刻意设计出来,以便把经验与未知联系起来,而且有意地通过模拟和貌似,让隐喻的想法能转而传递意义。其他符号可能意外地达到同样的效果。例如,要表示大量但有限的数值项的“和”时,我们用大写的sigma ∑,也就是希腊字母的“S”。这个符号具有有限个分开的尖角(我说三个,但这得看读者怎么数),可能源自拉丁文summae (“是……的和”)。而当要将无限多项相加时,我们用S形符号 ,这个符号平滑而弯曲,暗示着无限和。

意义和理解可能深植于关联和相似当中,这些关联和相似是通过经验得到的,并且存在于集体潜意识中。美感上吸引人的符号所产生的文化倾向,可能会影响我们的审美观,在数学中,以及诗歌和艺术领域都是如此。数学之美——证明的优雅、解说的简明、原创的巧妙、化繁为简、有意义的关联——很大一部分,归功于精巧而整齐的符号所启发的功效。


[1] 比较精确的说法是,苏格拉底让这个奴隶男孩理解如何求作一个正方形,使其面积为已知正方形的两倍。不过,这当然涉及勾股定理。——译者注

[2] 《未竟之路》第一行为“Two roads diverged in a yellow wood”(黄树林里二路分歧)。

附录A 莱布尼兹的记法

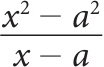
忽略一些次要的技术细节,我们可以用yx 2 为例,欣赏莱布尼兹的记法。我们看到变量y 的值,依变量x 的值变化。如果我们取某个特定的数,比如2,接着考虑下面的比:

对分子作因式分解后,整齐地将比化为:

此时,我们发现,分母与分子有相同的因式。因此,只要x 不等于2,经化简之后可知,我们一开始的那个比其实是x +2。但这并非只限于数字2才成立。对任意数,比如a ,我们都可以用同样的方式处理。如果我们从下面的比开始:

只要x 不等于a ,我们最后都会得到xa 。现在,问题来了。我们想知道当xa 趋近于零时,会发生什么事。之所以想知道是因为,当xa 趋近于零时,上述的比告诉我们:当x 非常接近a 时,变量x 2 x 改变的情况。当然,我们不能直接令xa 为0,否则我们无法进行必要的消去xa 而得到xa的步骤 。跳过这个麻烦的方法是,观察当xa 趋近于零时,发生了什么事。那会迫使xa 趋近于2a 。因为a 是任意选择的数,a 究竟是何值不重要,那意味着原始的比

趋近于一个其实只依赖于a 的数。它就是我们所说的a 的一个函数。用符号 表示这个函数,并称之为“yx 的导函数”。

为什么 是如此优良的符号?毕竟,求导函数的最终结果,不必然得到两式之比。我们的例子所得到的是2a ,根本不是一个比的形式。

从大多数物理现象的问题来看,你先是知道某函数的变化率,接着想了解该函数本身——举例来说,你也许知道 。这里不去质疑下述未证明的符号操作,你会像每一个微积分学生所学的,将 视为分数,两边同乘dx ,得到dyxdx 。多么方便呀!由此,我们可推导出那些奇怪的小变量dxdy 其实确实共同依循一些代数法则:如果yx 的函数,且xt 的函数,则 。而如果xy 都是t 的函数,则

上式为莱布尼兹另一个杰出的符号——“积分”符号——提供了登场的舞台。积分是对一个函数做运算。为了方便说明,我们再次举个例子,比如yx 。对y进行 积分运算,可得一个以函数y 为变化率的新函数。

借此可导出下述结果:如果两个函数相等,那么对它们积分后,恰会差一个常数。在这个例子中,所用的积分符号是∫_dx 。所以,如果我们对等式dyxdx 的两边同时作积分,利用此积分符号会得到∫dy∫xdx 。等式左边可看作一个相对于变量y 的变化率为1的函数,它必定是函数y 本身。等式右边则是一个相对于变量x 的变化率为x 的函数,结果它是 。因此, ,其中C 是某个常数。

附录B 牛顿的Xn流数

假设变量x 的流动是均速的,并令x n 的流数为所求。同时,若量x 变成xo 时,量x n 会变成 ——亦即,利用无穷级数法可得:

两者的“增量”分别为:

其相比(在除以o 后)会相当于:

现在,令那些“增量”消失,则它们的最终比将变成1对nx n 1 之比;而因此,变量x 的流数比对变量x n 的流数,一如1比对nx n 1

上述内容引自牛顿《曲线求积术》(Tractatus de Quadratura Curvarum ),约翰·哈里斯1723年英译本。

附录C 实验

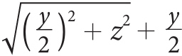
下面是一场访谈的记录,这场访谈是关于一项符号认知实验的。2012年1月4日,我在美国数学学会与美国数学协会于波士顿举办的联合会议中进行了这项实验。

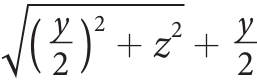
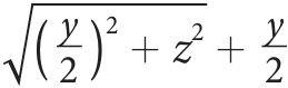
我的笔记本电脑屏幕中间呈现下式:

典型的访谈过程以如下方式进行:

问:当你看到这样的东西时(指着我的电脑屏幕),你心里想到了什么?

答:嗯……(一阵沉默)

问:没有对或错的答案。我只是想知道你怎么看这个东西。

答:在根式(平方根的记号)里有一个平方和,所以这可能与椭圆有些关联……不,等等……它是个圆锥,某个方向的截痕为双曲线,另一个方向为抛物线。

此时,方程式x 2 bxc =0淡入屏幕顶端,并带着两个箭头,向下指着屏幕中间的那个式子。整整十秒钟的时间里,屏幕上都显示着:

受试者直盯着屏幕,十秒后,方程式和箭头淡出。

我以这种方式与九个人进行了访谈,其中只有两个人没有尝试将整个问题与问题所给的方程式图形联系起来。但显示了十秒那个淡入又淡出的奇怪方程式后,两个受试者就有了同样的想法。下面是其中一个受试者的访谈记录,另一个受试者的访谈记录事实上也差不多。

答:停停,也许x,yz 不是变量。

没有言辞显示他们注意到页面上那个淡入淡出的方程式,但在例外那两人的访谈中,受试者都在板子上写下:

第二个受试者仿佛知道第一个受试者做过的事。

问:嗯,所以你现在看到了什么?

答:看到某种像……二次方程式的一般解吗?它是二次方程式的正根吗?

问:你想到了什么?

受试者写下x 2 bxc =0。

答:不,不……(重写方程式,把+b 改成−b 。)

再重写方程式,把+c 改成−c ,受试者持续注视着新方程式,而我在过程中不发一语。过了一小段时间后,他写下x 2 bxc 2 =0。他自信地继续改写,最后写下x 2 yxz 2 =0。

问:很好!

答:(睁大了眼睛)哦……这(指着电脑屏幕中间那个式子)是方程式x 2 yxz 2 =0中x 的正值。

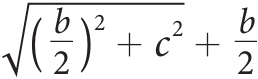
我设计这个问题时,用z 2 取代原先的z ,使得问题比我原先预定的难度高。我的用意是让根号中的项能化成椭圆的形式,把一切变复杂。我大可以直接写

而不是

但我觉得这样是送分题。

最后,我问每一位受试者,他思考那个问题时,是否看到我的电脑屏幕上有任何不寻常的东西。每一个人,包括例外的那两人,都说没看到任何东西淡入或淡出。

有两个人注意到根号里的

这让他们想到b 2 -4c 这个形式,求解形如x 2 bxc =0的方程式时,这个式子总是出现在根号里。从图形来看,形式

也会暗示一个正椭圆锥。这九个受试者全部在潜意识中接收到原式与x 2 bxc =0之间的关联的暗示,是什么让两个受试者发现

如同二次方程式的解,而七个受试者寻求图形意义上的关联?

我无法以文字告诉你,我究竟是如何知道

是二次方程式x 2 bxc =0的正根。我只能告诉你,每当我看到根号中出现任何下述形式

都会让我想到b 2 -4c 这个形式,从而想到x 2 bxc =0的根。

附录D 将复数可视化

将复数aib 表示为坐标平面上的一点(ab )。如此一来,所有碰巧为实数的复数便会落在通过原点(0,0)的水平线上,而所有碰巧为纯虚数的复数则会落在通过原点(0,0)的铅直线上(参见图D-1)。

图D-1 将复数可视化

每个复数都可表示成一个数对,并将其画在这个坐标平面上。但为什么我们称呼这些形如“数对”的东西为数呢?答案是因为它们遵守数的算术法则。将任意两个复数相加,会得到第三个复数:定义(ab )+(cd )为(acbd )。[请注意,(acbd )即为(aib )+(cid )相加所得的(ac )+ibd )。]那乘法呢?我们定义(ab )乘以(cd )得(acbdadbc )。[请注意,(acbdadbc )即为(aib )(cid )相乘所得的(acbd )+iadbc )。]利用这些加法和乘法的定义,所有复数的算术法则都不会产生矛盾的情况。但当我们更进一步思考时,一些有趣的事情发生了。复数的乘法有几何上的意义。乘上复数i 的几何意义为逆时针旋转90度;乘上复数di 的几何意义为逆时针旋转90度后,再伸缩d 倍。

若使用记法 来表示复数i (实际上,它们的意义相同),上述讨论的一切结果依旧成立。但复数i 可以从开根号的概念中,分离出旋转的意义,让头脑意识到代数结果与数的概念的延拓之间的区别。

附录E 四元数

哈密尔顿领悟到的东西,是他的四元数xiyjzkw 中的每一项,皆与其他项独立,并满足乘法法则i 2 j 2 k 2 ijk =−1,而且它可以表示成四元数组(xyzw ),并遵守交换律之外的所有代数乘法法则。他会满意如下事实:此四元数组满足ijkji =−k 。他也会接受−1存在超过两个平方根,事实上有无限多个!他会接受二次方程式可以有两个以上的解。这些都是要将数推广至复数以外更高维度的数系时,所必须付出的代价。这个新数系包含了复四元数,并且内嵌了三维的虚数系iyjzkw

那么,在三维空间中,乘上ijk 各代表了什么样的几何意义呢?旋转,我们期望它与旋转有关。但怎么转呢?如果ijk 分别代表三维空间中,三个彼此垂直坐标轴上的正向单位向量,则以j 乘上i 时,会将整个三维坐标系旋转90度,并将i 轴送到j 轴,且使得k 轴维持固定不动。它告诉我们,三维空间有两个不同的赋向模式,而物理学家必须决定使用哪一种当成约定常用的方式。换言之,木螺丝的螺纹应该设计成顺时针转入木头还是逆时针转入?这里的选择是随意的,但约定俗成的方向是顺时针。如果你大学时学过物理,可能会记得这些旋转的方向就如同空间赋向中的右手定则一样,对物理学和数学而言,它都是基础而重要的约定。

与复数不同的是,四元数在我们熟知的空间中并无适当的表示方法,而且无法可视化。对我们当中未受过四维空间思考训练的人而言,它们不存在可接受的可视化表示方法。然而,我们还是在数系的延拓过程中,将四元数纳为有效的数。它们并非以几何的方式出现,它们可能是通过符号表示的方式现形。现在,它们总出现在人们最意想不到之处。要不是欧拉在1777年提供给圣彼得堡科学院的回忆录里将 表示成i ,要不是在他去世后于1794年将 印制出版成i ,要不是高斯在1801年后一贯使用i ,四元数在数学史上不会这么快被发现,而给数学物理的发展带来如此重要的贡献。

致谢

要不是许多人的支持,本书不可能完成。首先,我的太太珍妮弗数次阅读草稿全文,提供编辑、结构和实际方面的建议。她是我永远的灵感来源和支柱。

我非常感激伯利亚斯科基金会提供资助,让我在意大利伯利亚斯科一如其名的天堂湾宏伟的黛皮尼别墅完成本书。这项资助慷慨地提供给我从容的时间、奢华舒适的居所,以及午后在温暖的地中海游泳,还有惠我良多的同人,包括鲁比·布隆戴尔、约翰·伊顿、路易莎·科斯塔·戈麦斯、珍妮·玛丽·刘泰、珍妮弗·萨克斯和威拉德·施皮格尔曼,他们直接或间接帮助我完成本书的最后稿本。

特别感谢审阅本书全部文稿的耐心读者:米歇尔·鲍尔、朱丽安·费恩霍尔茨和玛格丽·塞尼察尔。谢谢其他读过个别章节(通常是好几章)的人:鲁比·阿瑞安赫德、史蒂夫·巴特森、肯尼斯·布利兹、查尔斯·伯内特、巴瑞·塞普瑞、大卫·考克斯、罗伯特·道森、菲洛森·蒂雅库、拉法埃拉·弗兰奇、费尔南多·古弗、艾米莉·格罗霍尔茨、菲尔·霍姆斯、因斯·霍伊鲁普、盖泽姆·克劳利、米哈伊尔·卡茨、凯瑟琳·马祖尔-杰夫瑞斯、巴瑞·马祖尔、彼得·梅雷迪斯、金姆·普罗夫科和西沃恩·罗伯茨。另感谢我的专家顾问,他们在书信往来和交谈中提供了丰富的信息与激励:斯坦尼斯拉斯·德阿纳、大卫·吉尔里、丹尼尔·卡内曼、乔治·拉考夫、斯蒂芬·平克、伊恩·斯图尔特、大卫·塔尔和伊丽莎白·乌利维。

我自认是浸淫在一群博学多闻者当中的数学撰稿者。因此,我感谢致力研究符号史,以揭露已佚失数百年的智识成就的真正学者。克里索马里斯(Stephen Chrisomalis)在他的博士论文《数字记法比较史》(The Comparative History of Numerical Notation , 2003)中,列举了一千零四十七件关于数字与数字系统、数字记法和记数法的学术出版品,对我的研究帮助良多。感谢梵蒂冈图书馆的保罗·维安、美国克雷数学研究所、古腾堡计划、开放图书馆、芝加哥大学数字保存收藏、欧洲文化遗产在线(ECHO)、纽约公共图书馆数字画廊、自由基金会、科学哲学存储库、梵蒂冈图书馆、佛罗伦萨威尼斯国家档案馆、佛罗伦萨中央国家图书馆、帕维亚大学等。法国国家图书馆在线善本图书馆、网站Scribd.com、网站Ancientlibrary.com、珀尔修斯数字图书馆、恩尼奥·德·乔治数学研究中心(参考邦贝利的《代数学》文本),以及高等师范大学图书馆,让我可以居家研究,十年前得耗时经年周游世界各地图书馆的善本室才能进行这些研究。感谢乔纳森·本内特,他经营一个数学家和哲学家书信翻译的网站(www.earlymoderntexts.com)。还要感谢不再与我们同在的真正学者,他们致力于研究符号史,以揭露已佚失数百年的智识成就:弗洛里安·卡裘利、托马斯·希斯爵士、路易斯·查尔斯·卡宾斯基和卡尔·门宁格。非常感谢马立克,本书的捷克版译者,他在本书制作最后阶段发现一堆英文排版问题。

特别感谢我的编辑维奇·科恩斯的坚定支持,还有我的经纪人安德鲁·斯图尔特在我非常简短的提案中看出这项出版计划的潜力。

感谢马祖尔·杰夫瑞斯家族:凯瑟琳、汤姆、索菲亚、伊莲娜和内德。感谢马歇尔家族:达米娜、斯科特和莉娜。感谢我的兄长巴瑞及兄嫂弟妹卡罗尔·约菲和格雷琴·马祖尔,向他们永远的鼓励致意。

如果你不知道读什么书或者想获得更多免费电子书请加小编微-信:gaiword 小编也和结交一些喜欢读书的朋友 或者关注小编个人微-信公众号名称:互联网分享社区

Table of Contents

前折页

书名页

版权页

文前辅文

目录

导言

定义

关于插图

第一部分 让人好奇的开端

第1章 文明史上最重要的发明
第2章 古代人巧妙的计数办法
第3章 不得不佩服的中国人
第4章 印度送给世界的礼物
第5章 符号在欧洲的启蒙趣事
第6章 阿拉伯数字的错误叫法
第7章 一本文献引发的争论
第8章 符号起源地的众说纷纭

第二部分 思维演化的历史

第9章 欧几里得的秘密
第10章 讽刺短诗式的谜题
第11章 负数是如何诞生的
第12章 数学史上的争斗
第13章 崭露头角的符号
第14章 笛卡儿的过人之处
第15章 用声音来代表符号
第16章 思维方式的抽象化
第17章 加减乘除的用法伊始
第18章 趋于标准的符号系统
第19章 站在巨人肩膀上的侏儒

第三部分 符号隐藏的力量

第20章 只可意会不可言传
第21章 符号背后的意义
第22章 心理学家眼里的符号
第23章 符号与意向
第24章 结语

附录A 莱布尼兹的记法

附录B 牛顿的Xn流数

附录C 实验

附录D 将复数可视化

附录E 四元数

致谢

后折页

封底

Table of Contents

前折页

书名页

版权页

文前辅文

目录

导言

定义

关于插图

第一部分 让人好奇的开端

第1章 文明史上最重要的发明
第2章 古代人巧妙的计数办法
第3章 不得不佩服的中国人
第4章 印度送给世界的礼物
第5章 符号在欧洲的启蒙趣事
第6章 阿拉伯数字的错误叫法
第7章 一本文献引发的争论
第8章 符号起源地的众说纷纭

第二部分 思维演化的历史

第9章 欧几里得的秘密
第10章 讽刺短诗式的谜题
第11章 负数是如何诞生的
第12章 数学史上的争斗
第13章 崭露头角的符号
第14章 笛卡儿的过人之处
第15章 用声音来代表符号
第16章 思维方式的抽象化
第17章 加减乘除的用法伊始
第18章 趋于标准的符号系统
第19章 站在巨人肩膀上的侏儒

第三部分 符号隐藏的力量

第20章 只可意会不可言传
第21章 符号背后的意义
第22章 心理学家眼里的符号
第23章 符号与意向
第24章 结语

附录A 莱布尼兹的记法

附录B 牛顿的Xn流数

附录C 实验

附录D 将复数可视化

附录E 四元数

致谢

后折页

封底