第9章 欧几里得的秘密
许多年前,我拥有很难得的短暂时刻,获准翻阅现存最早的欧几里得《几何原本》复本“MS D’Orville 301”。这种少数人享有的尊荣特权,可以说不亚于获准进入女王的会客厅觐见女王。首先,我必须获得一位备受敬重的数学教授的推荐函。从封爵的教授那里获得推荐函或许不是必要的条件,但我的确得到了这样的推荐。然后,在预约那天,一名男士在牛津博德利图书馆特藏室外面的门廊上迎接我。这个瘦削的男子面容看起来像林肯一样,眉毛浓密,脸颊凹陷,他护送我进入一个房间,让我在那里进行宣誓程序。
Do fidem me nullum librum vel instrumentum…
我特此保证,不会拿走图书馆的东西,不会对属于图书馆或在图书馆管理下的任何书卷、文献或其他对象以任何方式标记、污损或破坏,不会带任何火源进入图书馆或故意引燃它们,也不会在图书馆里抽烟;而且我承诺遵守图书馆的所有规定。
在那里,我立誓尊重博德利图书馆的所有物品,并同意不做出清单里一长串的违规行为——不管是用笔、相机还是火。接着,我拿到一双白手套,并且按照要求用一支特殊的笔在欧几里得“MS D’Orville 301”的访客簿上签名。我看了一眼刚签完名的那一页,不由得怔了一下,因为我突然意识到我的签名很可能在那一页上留存千年,并且只在牛顿的签名下面十二行。
那个瘦削的男子突然将笔收回,以林肯般的严肃表情提醒我:“无论在任何情况下,请勿脱下手套碰触书页!”
我和这部伟大的文献单独留在房间里。与这样一部古代手稿独处的震惊、兴奋和荣耀之情,我实在无法形容。我就像是在中世纪修道院里的僧侣,像是在自家波希米亚图书馆里的伯爵,也像牛顿一样细细思索着为什么这份抄本里没有符号这个问题。单独在这个房间里,我觉得自己在精神上与上一个千禧年的所有昔日学者、抄写员和数学家有了一种关联,特别是与书记员史蒂芬(Stephan the Clerk),他在888年戮力为帕特拉斯的阿力他(Arethas of Patras)将这部作品抄写到羊皮纸上。我戴着白手套的手指小心地翻阅MS D’Orville 301的书页(参见图9-1)。
图9-1 博德利图书馆Big B的说明。资料来源:克雷数学研究所网站(http://www.claymath.org/library/historical/euclid/images/euclid_1_48.jpg)。博德利图书馆,牛津大学,MS. D’Orville 301, fols. 31v-32r
当然,除了以一个字母表示点、两个字母表示线、三个字母表示角之外,书中没有其他数学符号。再者,当然,书中包含以连续的希腊字母系统来符号化的整数和有理数。但除了那些和我一样签下相同保证书的众多已作古的读者在书页边缘空白处的潦草涂写之外,我没发现任何代表加、乘或等于的符号。边缘空白处只填满了草草记下的印度数字,还有我幻想可能是牛顿所留下的几何涂写甚至代数方程式。
今天,我们也可以在网上浏览这份文献,不需推荐函,不必戴手套。这得感谢克雷数学研究所和博德利图书馆,让所有人都可以在线浏览完整的原版MS D’Orville 301。此外,每一本书都有内文图片的希腊文索引,附有英文翻译。
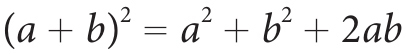
MS D’Orville 301展示了如何证明简单的等式,例如(a +b ) 2 =a 2 +b 2 +2ab ;然而,你不会在欧几里得的著作中发现任何表示乘幂或加减的代数符号,因为他的著作是几何式的,而且完全用文字表述。即使是《几何原本》的首印版,里面也没有符号。数学史家托马斯·希斯英译本第二卷的命题7描述如下:
如果一条直线随机地切成两段,直线上所张拓出来的正方形,会等于两个线段各自张拓出来的正方形之和,再加上由这两个线段所形成的长方形之两倍。
尽管这是几何式叙述,但我们可以将它看成下面这个我们熟悉的方程式:
(a +b ) 2 =a 2 +b 2 +2ab
数学,它并不总是今日我们所见的样子。它的严密性不总是依赖有限数量的精心设计的陈述,并借由逻辑法则与基本的假设关联。我们今日的西方数学,承继了巴比伦人和埃及人千年来计算方法的具体应用成果,当时他们对数学证明的概念非常宽松。他们的主要目的是说服,而非严密性——严密性会在接下来的三百年里缓缓发展,而这些都发生在欧几里得和亚历山大学派基于基本的假设构造出证明的理念之前。
现存最早的几何史著作之一是普罗克洛斯的《欧几里得几何原本第一卷评注》。普罗克洛斯是哲学家、史学家,他总结了更早期由罗德斯的欧德谟所述的历史。5世纪之前的几位史学家,从普罗克洛斯到普鲁塔克,都告诉我们公元前6世纪的哲学家米利都的泰利斯将一种新的堪称奇迹的智慧引进希腊哲学:抽象几何学。
对于几何学之父,我们所知甚少。甚至欧几里得的生卒年也非常不确定。他可能是称为《几何原本》的这部巨著的编纂者和组织者,这部公元前300年的教科书概括了当时几乎所有已知的数学成果,但可以确定的是,书中的伟大证明不是这位数学家一人完成的。我们说“欧几里得证明了……”,只是指这个那个定理出现在《几何原本》的十三卷当中。更有可能的情况是,欧几里得这位老兄是从其他与柏拉图学院有关联的人那里学习到书中的许多定理的,诸如欧多克索斯(Eudoxus)和泰提特斯(Theaetetus)等人。若不使用某种公理化的逻辑方法来证明数学定理,那么,学习这些定理便不能说是证明了它们。因此,尽管某些几何定理可以凭借可信的论证直观地被认定为真,但是毫无疑问,这些证明比起欧几里得所建立的辉煌体系,是不太有说服力的。欧几里得是从公理或不证自明的真理出发,并遵守无可争辩的逻辑法则来建立数学证明。《几何原本》赋予了数学基本特性,它是证明 的第一个模型。
在欧几里得的《几何原本》问世之前数百年,人们便已知晓勾股定理。埃及人知道它,中国人知道它,印度人知道它,毕达哥拉斯学派成员当然也知道它。但是,它的证明无疑出现在《几何原本》第一卷之末,紧跟在前面四十六个命题之后。
我们也知道欧几里得这位老兄,在亚历山大大帝于公元前331年建立亚历山大城之后不久在那里生活。亚历山大大帝将这座城市交由他的将军托勒密一世统治,并由狄诺克拉底规划整座城市的建设蓝图。这座城市被建造成坐标式的方格状,街道相互垂直。到了欧几里得时代,整座城市正处于蓬勃发展时期。城里的两座大图书馆,已经收藏了从进入港口的船只那里征收的书籍。剧院中上演着一出出希腊悲剧,教授哲学的学校急剧增长。
欧几里得的时代之后五百年间,亚历山大城始终是学习和钻研数学、科学、医学的中心。2世纪,时值丢番图生活的时代,这座城市仍旧充满了惊奇。城中宽阔的林荫大道和石板小路,夜晚被火炬照亮,比此后两千年内欧洲任何一座城市的夜晚更明亮。亚历山大城中的石灰岩柱廊依然可见,从城墙的一侧延伸到另一侧。城里还有几座公园,以及克丽奥佩特拉的纪念碑。香水和羊皮纸,还有玻璃工艺和雪花石膏雕刻,仍是这座城市蓬勃发展的制造业当中重要的一环。城里还有神殿和犹太会堂。城中还有许多摊贩、表演者、放贷者和娼妓。这是“一座极具感官享受、气象万千并充满高度人文气息的城市,古代世界的巴黎”。难怪这么多数学家来到这里工作。
丢番图也许诞生于此,虽然我们无法确定,但我们可以肯定的是,他的主要研究,尽管在中世纪的黑暗时代完全被人遗忘 [1] ,但当那些成果于16世纪重现时,深深影响了代数学的发展。
在那个年代,“阅读”(reading)仍指的是大声读出来。默读在当时并不存在,即使在公开场合亦然。阅读是一件专心致志的事,需要随时滚动并平衡卷轴。尽管到了丢番图的时代,字与字之间已经分开,但是早期的手稿并未将词、句、段分开,也没有标点符号。阅读本身是一件困难的事,并且被视为了不起的能力。读与写多半是在晨间明亮之时进行,特别是还不太热的时候。丢番图可能是用海边的灯芯草秆在羊皮纸上书写的。
如果我们相信抄写员和翻译者忠实抄写和翻译了丢番图的原稿,那么丢番图的确使用了符号来表示乘幂和未知数。以未知数来看,他使用了类似希腊字母sigma置于词尾时的写法
[2]
,尽管它比一般文本中所用的sigma更大且更加倾斜。它可能是“数”这个词的古希腊文前两个字母的草书体缩写。也许它并非我们现在看到的样子,但著名的古代数学史家托马斯·希斯认为,它可能是在日益严重的马虎抄写过程中慢慢演变的结果。丢番图也创造出减号,它就像一支朝上的箭(有时是朝下)。但这也是一种缩写形式——很可能是“减”这个词的前两个字母,同时,其中一个套着另一个。或者,那可能只是后世的某位抄写员自己想出来的,利用这些符号当作缩写。
如果所有的数学完全以文字表述,不使用符号或没有大量精心设计的符号,那么,这门学问看起来会是什么样子?下面是阿尔-花拉子密《代数》中的一段,甚至连数字也以文字来呈现:
当一个正方形的量加上二十一个迪拉姆(dirhem),与那个正方形之根数的十倍相等,则此正方形之量为何?
我们可以将这个问题简写为x 2 +21=10x 。
该书中所给的解并不包含符号,如下所述:
将根数折半,得其应有部分五。将其自乘,所得结果为二十五。减去平方数所加之数二十一,余为四。开平方,得到二。从根数的应有部分,亦即五,减去此数,所得为三,这即为你所求的正方形之根,其平方数则为九……
需要继续说下去?
这个问题来自一个稍微更具应用性的问题:
我将十分成两个部分。接着,我将其中一个部分乘上另一部分,所得结果为二十一。那么,你现在可以知道,十所分成的两个部分,其中的一部分为何。
阿尔-花拉子密解答问题的语言,给我们提供了一个似乎专属于该问题的逻辑过程。它也许是一种常见的方法,一种隐藏在文字表述背后的算法,但可能需要花些功夫才能表示这个过程。另一方面,符号化的代数过程,提炼出了很多这类问题的解答。以现代的符号化术语来表示,问题的解答会像这样:十被分成两个部分,其中一部分可能比另一部分大。所以,这两个部分可分别表示成x 和10-x 。这两个部分的乘积必定等于21。因此,x (10-x )=21。由此可得二次方程式x 2 -10x +21=0,而其解为x =3或x =7。 [3]
然而,请记住,这个问题不像是通过文字表述的方式解出来的。它可能一开始是在某种沙板上做研究,接着再形成文字表述。再者,如何将10分成两部分,使得其乘积为21的这个问题,有一个利用心算的简单解法:21的因子中,只有3和7这两个因子满足其和为10。这也是标准的巴比伦式几何问题:列出两个部分x 和y ,接着,考察这个问题,x 和y 分别为一长方形的两边,且满足其和为10,面积为21。这个几何问题可以用下面涉及两个方程式的代数问题表示:
将第一式当中的y 用x 表示,代入第二式后可得x 2 -10x +21=0。
阿尔-花拉子密的证明是几何式的,并不是我们称之为代数的现代意义的代数解法。这不让人意外,在阿尔-花拉子密的时代,阿拉伯数学文献里并没有代数证明。但是,在没有任何说明的情况下,阿尔-花拉子密的确提出了一种以文字表达的算法,可以从问题的条件逐步导出答案。利用很难理解的文字代数,他告诉我们如何进行下去。不过,当时没有符号,一个也没有,甚至没有数字。数学史家贺鲁伯告诉我们:“与解基本方程式相关的代数式证明,在整个阿拉伯传统中缺席……我们应该预期,一种代数符号体系的存在,与由于后见之明而看起来似乎可能创造出的这种推理,这两者之间没有直接的关系。”
我们不应愚蠢地认为,以文字表达的符号形式,只是一种方便的速记法。它当然是速记法,但不仅如此,它还有助于人类思维超越自然语言所书写成的文字所带来的含混不清与误解。更进一步,这种符号体系允许思维将特殊的陈述提升至其一般化的形式。到了笛卡儿的时代,方程式几乎完全以现代的符号形式写成,符号终于达到了——如托比亚斯·丹齐克所言:“从文字的奴役中,将代数解放出来。”
[1] 黑暗时代(Dark Age)之说目前已经被史家摒弃了。
[2] 古希腊字母sigma一般大写为Σ,小写为σ,但置于词尾的sigma 小写字母则写成Ϛ。——译者注
[3]
根据二次方程式公式,其解计算如下:
第10章 讽刺短诗式的谜题
当你可以理解它们之后,方程式其实相当友善。
——伊恩·史都华(Ian Stewart)
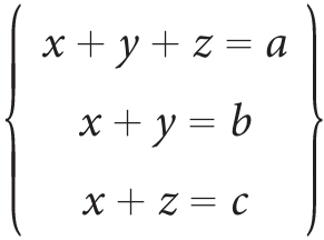
根据叙利亚的哲学家杨布里科斯的说法,可称为代数的古代最早一批著作,可追溯至早期毕达哥拉斯学派,至少可能追溯至该学派的帕罗斯的塞马里达斯,其中提出求解某类包含n 个未知数的n 个联立方程式的法则。以三个未知数为例,法则可简化为:给定三个量之和,以及三个量当中某一指定量与其余各量配对之和,则指定的量会等于这些配对之和与三量之和的差。
按照我们现代的符号语言,这个问题可以更简化如下:
如有下列联立方程式
则x =b +c -a 。
举例来说,如有下列联立方程式
则x =2+4-3=3。
这是一个简单的代入消去过程,但基本上,它是自19世纪后便为大家熟知的克拉玛公式(Cramer’s rule)。在塞马里达斯的时代,它被称为“塞马里达斯之花”(the flower of Thymaridas)。如果我们继续求其他未知数,我们会得到y =−1及z =1。尽管解y =−1行得通,但它却被认为是荒谬的,因为−1是一个负的量。分数和有理数都可以被接受;然而,16世纪之前,负数——它被视为负债当然没问题——在欧洲不被视为一个真实的数。 [1]
欧几里得《几何原本》(MS D’Orville 301)9世纪版的第二卷、第五卷和第七卷,都无意间利用几何的语言处理代数,也就是说量被刻画成给定的线段长,成为譬如二次方程式x 2 +ax =b 2 (用我们现代的记法)的解,其中a 和b 是正数。对身处21世纪的我们而言,它是两个代入x 后,可以使得方程式成立的数;以其中任一个数代入计算,可使得等号的左边与右边相等。但对生活在15世纪之前的人来说,方程式的解是在没有符号的情况下求得的,同时,他们还依循了什么东西 可被视为数的一种具体观点。
方程式x 2 +3x =4有两个解(x =1和x =−4),然而,只有一个是正的,因此,只有一个解被视为数。这类方程式可以用几何的方式求解,事实上,它可能是因为实用的几何问题而得到的灵感,比如说,试求一个长比宽多三个“斯塔德”(stadion ,1斯塔德约185米),且面积等于四个平方“斯塔德”的长方形的宽。在这个例子中,对这样的几何问题,满足方程式x 2 +3x =4的负数解−4,似乎无法应用于边长应为正的长方形。15世纪的数学家无法知道,几何本身何以包含满足该方程式的负数。方程式本身给了几何没有找到的某些东西,即便负数解在几何学里亦表示了相当真实的东西。
现代数学来自三个基本的根源:代数、几何和分析,而逻辑被视为三者共同的基础。这些根源盘根错节地纠缠在一起,也因此,我们要区分出这些领域的根源是很困难的事。我们现在有代数几何学,一个相当新颖的数学分支,结合了抽象代数与几何学的技术;也有几何分析学,一个使用几何方法来研究偏微分方程的学科;还有解析数论,数论的一个分支,使用分析的方法来解整数的问题。不过,基本上,在数学非常古老的树根处,我们发现了代数、几何和分析。
符号化的现代数学,最基本的形态可以追溯到丢番图的《算术》一书。我们应提醒读者,该书的原始文本现已不存,所以在复本上发现的任何记法,都可能是抄写员或翻译者添加的。
丢番图撰述《算术》的年代,晚于亚历山大的海普西克利斯(因为丢番图引述了海普西克利斯的话),并且早于希帕蒂亚的父亲亚历山大的塞翁(因为塞翁引述了丢番图的话)。这让我们能够推定他生活的年代,大约介于公元120年至400年间。另外,有一封11世纪拜占庭僧侣的信件宣称,老底嘉(Laodicea,位于今土耳其西南部)主教亚纳多留斯在250年左右,题献了一部专著给丢番图。因为这个题献的记述,后人推测丢番图活跃的年代应该不会晚于250年太久。
然而,20世纪80年代,著名的数学史家韦尔伯·柯诺怀疑,有一本一直被认为是亚历山大的希罗(Heron)著作的书,应该是出自丢番图。柯诺研究了那本据称是希罗的著作的风格,发现该书与丢番图的著作风格非常相似。他推测老底嘉主教信中所提的丢番图另有其人。由于希罗死于公元70年,所以《算术》的成书年代被认为较可能是1世纪,而非3世纪。
一首墓志诗或许让我们知道丢番图活了多少年:
“丢番图沉睡于此”,好奇者注视。
通过代数的技术,墓碑诉说着年纪:
“上帝赐予他的童年时光,占了一生的六分之一;
再过了十二分之一的年少岁月,胡子爬上双颊;
七分之一的时间过去,他结了婚;
五年后,喜获麟儿。
可恨啊,大师与圣者所挚爱的这个孩子
仅活了父亲年纪之半,冷酷的命运将他带走。
在利用数字科学慰藉他的命运四年后,他告别了这一生。”
这个代数谜题摘自7世纪希腊文集《帕拉蒂尼文集》,作者是梅特罗多勒斯。在当时若要求得答案,需要精通《算术》一书中的知识;但利用我们现代的符号代数,可以很快求得其解。
依照这首诗的描述,我们发现丢番图的童年占其一生的
。又经过人生的
后,他长出了胡子。再过
,他结了婚。五年后,他的儿子出生,儿子仅活了父亲年纪的
时间。儿子去世后四年,丢番图也走完了人生的旅途。所以,如果我们假设丢番图活了x
岁,而他的儿子活了y
岁,那么我们知道
又已知
上述可视为包含两个未知数的联立方程式,但它们可以迅速简化成仅带有一个未知数的方程式。利用代入消去法,将第二式的y 代入第一式,我们可求得丢番图去世时是八十四岁。多么简单呀!
《帕拉蒂尼文集》收录了四十六则讽刺短诗式谜题,其中许多可以导出简单的联立方程式代数问题,而这些问题都源自一则几个人分苹果的传统问题。这类代数谜题,可回溯至公元前5世纪之前,它们都未使用任何符号。举例来说,已知有六个人分若干个苹果,其中,第一个人得到全部的三分之一,第二个人得到八分之一,第三个人得到四分之一,第四个人得到五分之一,第五个人得到十个苹果,第六个人只得到一个。请问苹果共有几个?
我们可以把它看成一个求x 的问题:
你知道x 是多少吗?借由我们的符号代数工具,我们可以解这个方程式。合并同类项,同时从等号两边减去x ,很快求得答案:x =120个苹果。
就如同一种规律,希腊著作历经多个阶段,先是被翻译成叙利亚文,再译成阿拉伯文,接着被译成拉丁文,每一个阶段多少增添了不正确之处。其间,译版也辗转历经波斯文、叙利亚文、阿拉伯文、阿拉姆文和其他语种。阿拉伯人对于科学、数学、力学和哲学最感兴趣——阿波罗尼斯、斐洛、阿基米德、希罗、柏拉图、亚里士多德、泰奥弗拉斯托斯。到了9世纪中叶,巴格达、拜占庭和地中海东岸其他城市,由于学术风气日盛,翻译的需求增加。在巴格达,有一位侯奈因·伊本·伊斯哈格,他十七岁就精通多国语言,创办了一所翻译学校。侯奈因怀疑许多希腊手稿散落在伊斯兰世界各地,亲自带队前往美索不达米亚、叙利亚和亚历山大城找寻这些手稿。他轻视早期的翻译者,认为那些人要么完全无法胜任,要么浪费时间在损坏或难以辨认的手稿上。
侯奈因创办的学校很特别,因为至少从现代语文学的标准来看,他的翻译技巧与众不同又正确。他的学校教导学生小心翼翼地比较他们所能发现的不同时间、不同出处的相异版本手稿。“感谢侯奈因和他所带领的学者,许多希腊著作以高质量的阿拉伯文译本留存下来。”
4世纪之前,书籍中的文字是以安色尔字体(uncial,大写字母)写成。虽然在接下来几个世纪,出现一些实验性的小写字体,但在侯奈因的学校创建之前,都没有什么太大的改变。安色尔字体最主要的缺点是写起来太慢,字又太大,每一页的字数受到很大限制。为了降低昂贵的书写材料成本,小写字体(minuscule,用于书信和官方文件的小写字母)取代了安色尔字体。新的字体使得抄写变得更加容易又便宜,书籍可以更快速地被抄写,但文本内容中模棱两可字体所造成的麻烦,还是需要译者的诠释来解决。
阿拉伯人于641年征服了埃及之后,羊皮纸的需求剧增,即便当时的人对文献并没有太多兴趣。莎草种植园被耗尽,书写用的材料不再价廉易得。但到了850年,伴随着学术的复苏——或者很可能就是因为复苏之助——手稿在外观和制作方式上皆出现了变化。
接着,751年,在塔拉斯之战(Battle of Talas)中,阿拉伯人成功阻止了中国人往西扩张到哈萨克斯坦,而在战争过程中,两名中国战俘被带到乌兹别克的撒马尔罕。哈萨克斯坦的阿拉伯人从这两名中国士兵身上,学会了造纸术。纸张使得书写变得便宜。因此,9世纪时,以前的安色尔字体文本被译写为新的小写字体,从而保存了希腊最精华的文献。古希腊著作所有后来的抄写本,前身都是一个或多个以安色尔字体写在莎草纸上的版本;几乎所有这些文本都可溯源至它们9世纪的范本。
不幸的是,译写过程中出现一些错误,字母产生混淆或误读。希腊文本中许多错误通常都源自相同来源的9世纪手稿抄写本。从安色尔字体转抄成小写字体之后,原始的版本被丢弃,而小写字体抄写本变成所有日后抄写本的参考版本。所以,许多古文本后来只留下唯一的抄写本。例如丢番图的《算术》,据其序文可知原始版本包含十三卷,仅有其中六卷和第七卷的一部分留存下来。
快速一瞥《算术》这本书,即能发现它所蕴涵的代数特色。这也是为什么过去有些史学家认为代数学起源于丢番图。更仔细地扫视,则会发现它的杰出成就和记法的生硬。这本书教导读者如何解特殊的一次方程式与二次方程式,但它的记法看起来似乎是由那些用来计算求解的未知数和乘幂的缩写所构成的。
在该书中,对某位名为戴奥尼修斯(Dionysius,无关酒神的另一位)的人士,提出关于平方、立方和数字的其他一般性质的难题并求解时,作者根据字母来为平方、立方定义名称,并将未知量表示为
,意指“该数”。没几页之后,丢番图就用了
这个符号,好像是因为用整个词
太麻烦。
两百年间,学者始终质疑
这个符号的起源。有些人认为它是希腊字母sigma里只写在词尾的形式
。这种想法是基于丢番图知道在
与一个数之间不会产生混淆;希腊字母表的字母具有数值上的等价物,但这个最后的字母
(另类的sigma)在希腊的数字系统中从未被视为一个数。持这种看法的学者认为,
仅表示大写且倾斜的
。然而,另一种观点偏向于认为
表示
前两个字母ἀρ(第一个音节)的速记简写,而根据我们对符号的定义,它根本不可能是一个代数符号。
所有可贵的论点都有值得参考之处。进入20世纪,著名数学史家托马斯·希斯提出了具有说服力的理由,他认为
既不是词尾的sigma也不是某种象形文字,而是
这个词前两个字母的变形。他推论,它建立了一种“丢番图所使用的不同缩写之间的一致性。这表示他一直使用一个不变的原则来设定那些缩写,而我们会因为预期他有一贯的规则而易于理解”。对应到希腊文前几个字母的μ,δ和κ,它们分别用来表示单子(monad,我们的未知数x
)、平方和立方。希斯认为这些字母也可能与它们所对应的数值等价物产生混淆——也就是40,4和20。为了避免这样的混淆,对于
,
和
这三个希腊词,丢番图必定得加入每个词的第二个字母。但这时所形成的μο,δύ和κύ
[2]
,会分别与数值等价物4070,4400,20400产生混淆。为了避免那种
混淆,每一个字的第二个字母写成上标形式,缩写分别变成了μ
ο
,δ
ύ
和κ
ύ
。应用在
这个词时,缩写成为ἀ
ρ
。偶然地,其他符号也出现了,诸如
,它代表的是一个不确定的数。
从ἀ
ρ
演变成
的过程,希斯又做何解释呢?现在,我们先忽略下述事实,在丢番图的时代,分数的分母一般写在分子的右上角,这意味着ἀ
ρ
可能与表示
的符号产生混淆。
抄写员以草写体抄写的过程中未必总是小心翼翼。抄写员长时间的快速工作——有时靠着窗边朦胧的光,有时在幽暗微弱的烛光下——很可能使得草写的两个希腊字母αρ,被抄写成类似
或
的形状,因为这两个S形字母都用在后来的翻译中。希斯提醒大家留意19世纪著名语文学家维克托·埃米尔·卡德豪森(Viktor Emil Gardthausen)的说法,后者论述说古代手稿中的草写文字历经了不同阶段。两个希腊字母ἀ
ρ
演变成为
,也许是因为丢番图用它来速记
这个词。接着,根据希斯的说法,经过一代又一代的抄写与再抄写之后,抄写员不再把它看作两个字母,而是抄写成我们所见的某种含混不清的小写字母形式。
抄写员的工作是抄写,而非改写编辑,可以肯定的是,他们的工作不是增加或改变著作的内容。抄写员不是僧侣就是受雇的专业人员,他们对于自己所抄写的内容往往全然不懂,特别是当他们抄写的是关于科学或数学的书籍时更是如此。整个工作过程无人理会,他们得独处好几个月,有时一次就好几年。他们所抄写的书籍的作者,往往已去世多年,甚至几百年,所以找不到足够权威的人来检查错误。那些抄写员自行润饰、添加、删除,并犯下错误。由于像《算术》这样较著名的著作通常不是原稿,而是复本,所以错误更加严重,以至于中世纪史专家尝试区别原著与抄本的差异时,常常被激怒。
希斯的论述在我看来表面上讲得通,许多学者质疑过这个看法。20世纪早期的苏格兰数学生物学家达西·温特沃斯·汤普森对
的成因提出自己的论点。这个符号通常写成带有附加物的弯曲形式,如
或
,或者(复数形式)
,这表明该符号被当作一个单词的一部分。19世纪数学史家詹姆斯·高在希斯的想法出现于20世纪早期的数学史圈之后不久,写了一篇通俗易懂的文章。他认为这既不是前两个字母的缩写,也不是
这个词词尾的sigma。由于
仅出现在草写的希腊文里,而草写的希腊文在8世纪之前尚未出现,因此他排除了词尾的sigma这个选项。由于怀疑
可能来自某种讹误的速记,他欣然接受它很可能来自印度文或巴比伦文字或僧侣体(埃及的草书)的想法。他的友人塞缪尔·伯奇是埃及古文物学家,伯奇告诉他,
在形式上与纸草书中的一个僧侣体符号几乎一样,这个符号代表一种未知的力量,也代表一“堆”(古埃及文hau
)。阿美斯(Ahmes)利用纸草书中的一个僧侣体符号来表示未知数,他是著名的莱因德纸草书的抄写员。这本实用问题手册约成书于公元前1550年,“是了解事物的精确计算及现存所有事物知识的指南”,现存于大英博物馆。所有的僧侣体符号在形式上有些微差异,并且衍生自不同的象形图案;然而,代表“总和”的符号看起来也很像那个纸草书上的符号。詹姆斯·高发表了他的论述之后,希斯提出反驳。因此,整个问题仍悬而未决。
丢番图的确没有使用任何代表“加”的符号。然而,这里存在另一个难解之谜:1621年,法国数学家、语言学家、学者克劳德·加斯帕尔·巴歇将丢番图的《算术》翻译为拉丁文。根据这个译本,丢番图清楚告诉我们(卷一,定义十一):“‘缺乏’(wanting
)乘以‘缺乏’会得到‘给予’(forthcoming
),而‘缺乏’是用字母ψ倒过来之后截去顶端形成的
来表示。”通常符号
会用来表示减,它是一个真正的符号,它是抽象的,与单词“减”(minus)没有显而易见的直接关联。
翻译:定义十一:以少乘少则得多,以多乘少则得少。而减则可以利用截短字母ψ再上下颠倒来表示。
这里,我们找到代表减的符号的第一个证据。丢番图告诉我们,他用来表示减的符号
来自希腊字母ψ,将这个字母的尾巴去掉,再上下颠倒。然而,书中的记法并不完全一致,有时用这个符号,有时在希腊文原本里用
(缺乏)这个词,甚至同一页出现不同的符号。
亚历山大的希罗的著作《测量术》(Metrica
)中同样出现了这个符号,该书写于1世纪,这意味着在丢番图出生之前这个符号便已在使用了。它很可能是
这个词的一种缩写,或许是取第一个字母与最后一个字母的组合,或者可能是某个僧侣体文字。
似乎是丢番图所用的唯一未与书写的文字直接相关的真正符号。《算术》中的所有其他标记看起来都是缩写形式。因为所有现存的复本都可追溯至13世纪,很难知道是谁使这些符号经历了这样漫长的岁月。
要表示两项之和,丢番图(或《算术》的抄写员)仅是将它们并列。举例来说,把幺元
与未知数
接在一起形成
,用来表示x
+1这个多项式,或者再简化成
。然而,他能利用交换加、减的顺序,以及合并同类项,来简化方程式,就像我们的做法。所有过程都通过文字的方式,不需要任何程序法则。他假设我们必定从其他地方知道了一些运算法则,也许是从其他书籍或其他教师那里习得的。所以,当他神乎其技地求得了问题的解,他便停了下来。附带一提,我们写带分数时还是用并列的方式,亦即
指的是
。
《算术》的抄本
希腊文原版的十三卷里,只有六卷以抄本的形式留存下来,十三卷中的四卷(卷四至卷七)阿拉伯文版直到近期的1968年才发现。现在几乎所有对《算术》这本书的批注,都是来自巴歇的拉丁文译本,这个名为“Parsinius 2379”的翻译手稿,是在1545年之后,由海德隆提乌斯抄写的。这份手稿现藏于巴黎的法国国家图书馆,是包含希腊文原文的最早版本。追溯《算术》的起源很困难。现存最早的手稿年代晚于保存不善的13世纪版本“Matritensis 48”,现藏于马德里国家图书馆。
欧洲的大型图书馆起源于小型研究室。最早的大学当中有些设立在意大利的小城市——波隆那、佛罗伦萨、那不勒斯、帕多瓦、帕维亚、佩鲁贾、比萨、罗马、锡耶纳,时间早于13世纪中叶。早在梵蒂冈图书馆出现之前,这些大学就已成为意大利的学术中心。对许多这样的城市来说,一所大学仍只是学生接受不同教师的学术教导而结合在一起的组织,它并非实体机构。全欧洲富有家庭的学生来到这些意大利小镇,以当时通用的语言拉丁文来学习,他们直接付费给授课的教师。自由,从职业教育中解放出来,他们是接受博雅教育的学生。
1463年,德国数学家兼天文学家约翰尼斯·穆勒,拉丁名为雷吉蒙塔努斯,应邀到帕多瓦大学演讲,当时这所学校已创建两百多年。在那些相关讲座中,他介绍了所有的数学科学。“没有人,”他说道,“曾将丢番图的十三卷杰作从希腊文翻译成拉丁文,使得算术美丽的花朵被隐藏起来,那ars rei et census ,今日他们以阿拉伯名称之为代数。” [3] 这很可能是欧洲的作者第一次提到丢番图的著作。接着,在一封写给意大利数学家乔瓦尼·比安契尼的信中,他写到他在威尼斯发现“希腊数学家丢番图的著作未曾被翻译成拉丁文”。似乎没有人确知雷吉蒙塔努斯是如何发现《算术》的这个抄本的。近1620年的某个时间,巴歇声称裴隆枢机主教拥有一份包含了丢番图完整十三卷著作的手稿。根据裴隆的说法,这份手稿借给了一个朋友,而在取回手稿之前,那个朋友就去世了。
在奥斯曼帝国于1453年围攻君士坦丁堡之前两个世纪,一场大火烧毁了城里一座大图书馆的十万多册藏书。但几年后,这座图书馆竭尽全力,将希腊文和阿拉姆文著作翻译成阿拉伯文,并且雇用数百名抄写员,将碎裂的纸草书古本重新抄写到羊皮纸上。由于某种原因,那些曾属于君士坦丁堡大图书馆的抄本成为战利品被带到西方,最终落入私人收藏家、全欧洲不断发展的大学图书馆,以及梵蒂冈之手。
接着在1448年,教皇尼古拉五世在教皇宫殿设计了一座公共图书馆。它一开始是个有大窗和壁画的房间。教皇认为极重要或有精美装饰的书籍,都被锁在长椅上。这座图书馆本身就是精美的艺术品。到了1455年尼古拉五世去世时,这座图书馆有一千多本藏书。1475年,教皇思道四世任命了第一位梵蒂冈图书馆管理员巴尔托洛梅奥·普拉提纳,他手写了一份三千五百项的目录,收录的藏书是欧洲最多的。
这座图书馆收藏的多是神学书。然而,到了普拉提纳六年任期结束时,以希腊文和拉丁文写成的世俗著作藏书,已使这里发展成为西方世界收藏经典著作最重要的学术中心。这里藏有数千册关于艺术、音乐、哲学、神学、罗马教会史、科学和数学的装饰华丽的手稿,这些手稿是从远至东方的中国等王国和各帝国那里购买或掠夺而来。我们现在知道,当时梵蒂冈图书馆有至少两部丢番图著作的抄本。
16世纪的德国学者克胥兰德告诉我们,1571年10月,他偶然发现了一部《算术》的抄本。当时他在威登堡和几位数学家聊天,那几位数学家已经有《算术》手稿中的几页,而那份手稿是一位叫安德鲁斯·都狄修斯的人所有。克胥兰德离开威登堡前往莱比锡之前,抄写了其中一个问题及其解答,并给莱比锡的一位教授西蒙·卢森希斯看,后者回信说希望看看那份手稿。
年代次之的手稿是15世纪的Matritensis 48抄本(Vat. gr. 191),收藏于梵蒂冈教廷图书馆。三个世纪后,法国数学家兼数学史家保罗·坦纳利编纂整理了一份清单,列出了13世纪至16世纪的二十三部《算术》抄本。
生活在5世纪的希帕蒂亚曾有一部后来散佚的抄本。有参考文献指出,8世纪或9世纪曾有《算术》的抄本。从丢番图撰写《算术》到抄本Matritensis 48,历经近千年时间。传抄再传抄,从希腊文到阿拉伯文,到阿拉姆文,又回到希腊文,必定不仅出现错误,也添加了一些额外的内容。我们现在归功于丢番图原作的简字符号,会不会是以这种方式,出现在某一部抄本中的?
从一部抄本到另一部抄本里的记法,非常难以追踪。研究三种译本——希斯的英文版、克胥兰德的拉丁文版、巴歇的拉丁文╱希腊文对照版,我们发现译本中的差异毫无来由。希斯将书中的符号转写成某种形式,而在克胥兰德和巴歇这两个版本中都看不到那种符号形式,但几乎所有普遍流传的文献都采用希斯转写的版本。在马德里手稿(Matritensis 48)中,未知数表示成
,非常像将拉丁字母h垂直与水平翻转。在15世纪的威尼斯手稿(Marcianus 308)中,看起来像S的同一个标记在博德利手稿里是
。希斯认为,所有那些符号都只是一种缩写的讹误。这样的假设更符合从
,
和
演变为分别以符号μ,δ和κ来表示平方(乘幂)、立方的过程的看法。
[4]
甚至巴歇的译本中也出现好几种未知数(我们现代的x
)的记法。在他的定义二中,出现了某个看起来像希腊字母
的符号。有时它有重音符号
,有时带有上标
,有时上标上还有上标
。这些都是丢番图用来称
,也就是“该数字”这个词的速记写法。有时我们发现那个符号写成
,有时则写成
。这些差异反映了“数字”这个间接宾语使用时的语法或语义形式,因为它们反映出
(
或
)词尾的各种可能性,视其在句子中的语法结构来决定。一个双sigma是指复数,在同一页里,我们会看到
或
或
,同样视语法而定。
字母
也出现在柏拉图学派哲学家士麦那的塞翁(Theon of Smyrna)的著作里。他生活在2世纪早期,所以他很可能是最早想到把缩写用在数学中的人。
依巴歇的记法,Parsinius 2379中的多项式
译为9Q
+14-9N
(其中Q
代表x
2
,N
代表x
),而我们现代的记法则写为x
2
-9x
+14。请注意
。丢番图用这个记号来表示复数,因为他将九个负项合并成一项。注意丢番图所用的系数(即
和
)写在类别的后面(即
)。根据我们现代的记法,
指的是9x
,其中x以
双sigma表示,代表复数,也就是9倍的x
。换句话说,1x
可以写成
或只用
来表示,而2x
可写成
(参见表10-1)。
表10-1 丢番图的记法表
所有这些或许显示丢番图的确曾表示出未知数,但并非用一个显然不是单词的符号(但概念上仍与那个单词有关联),而仅是一种缩写形式。然而,19世纪数学史家保罗·坦纳利宣称,拜占庭时代之前的古代手稿并未使用这些不同的语法案例,可能是后来的抄写者自己擅自纳入了这些词尾缩写形式。如果丢番图对未知数
的不同语法词尾采用了不同的记法,那么为什么其他符号没有用同样的做法?希斯对于丢番图真的使用词尾的sigma作为代表未知数的缩写这样的论述表示怀疑,使得关于丢番图记法的猜想更加令人困惑。他推论词尾的sigma是后来才加入希腊字母表的。巴歇对定义九的翻译加深了这样的怀疑,因此认为词尾sigma与未知数的缩写无关。
翻译成我们现代的记法,丢番图的多项式
会变成3x
3
-2x
2
+x
+1:
丢番图用X
这个标记来写倒数。要写
,他会写成
。但除法可以用
来表示,它指的是“分享”。所以用我们现代的记法,
是写成:
当然,从我们现代的观点来看,丢番图的记法看起来……不是这么难理解,但的确很难用来进行代数运算。它是一种笨拙的记法,即使丢番图告诉我们:“在你彻底熟悉它之前,你会觉得它很难。” [5] 因为没有代表加的记号,它必须把所有负项聚集在一起,放在代表减的记号后面。再者,他的记法没有让我们的思维意识到,x 与x 2 是同样的数类。
我们或许会说丢番图的记法极为笨拙,相较于我们今日的记法,它其实很难操作,但在那种情况下,他竟然可以做任何数学,着实令人惊奇。我们可能认为这样的记法必定阻碍了清晰的代数思维。也许吧,但惯用和熟悉会促进观念的发展。对我们而言,问题在于他的记法是以相同的外显形式表示所有对象,并且没有确实地区别运算符号(例如乘幂或求和)与数字或不确定的对象。乘幂之间若没有间隔——即利用加号和减号——我们的思维理解代数可能会更加艰难。 [6]
[1] 我们在《算术》第五卷问题2观察到这一点:在一个几何数列中找三个数,使得每一个数加上一个已知数时,变成平方数。丢番图选择这个已知数为20,必须解4 x +20=4。于是他说这是荒谬的(ατοπον),因为等式右边的4应该是比20大的数才对。
[2] 注意这些缩写也是第一个音节。
[3] 我建议将ars rei et census译为“‘那物’的技术和性质”。我猜想所谓“那物”(rei),他必定是指“未知数”。
[4]
在巴歇的译本中,字母是小写,而且x的平方是一个奇怪的符号
,但在其他译本中,符号是大写。
[5] 这是詹姆斯·高的翻译,参见他的《希腊数学史》附录, 108页。希斯提供了一个更正确的翻译,参见他的《亚历山大的丢番图》, 129页:“或许这门学科看起来会很难,因为尚未熟悉它之故(初学者通常太早放弃希望);但是你,带着你的热情之力和我的教学之助,会发现它很容易精通,因为渴望学习,当辅以教导,确保迅速进步。”
[6]
我们也欣赏用逗号将大数拆解成三个一组的方式。这样的设计可见于斐波那契的《计算书》,虽然他不是使用逗号,而是用近于括号的东西来将数字分组。
请注意在巴歇的译本当中,符号都是小写。巴歇谈到的1Q.+2N.+1是
的译文。
第11章 负数是如何诞生的
代数的技术可能源自希腊人或印度人。然而,早在阿拉伯人学习代数、发展代数,并在11世纪末将这门技术带到西班牙之前很久,北印度的婆罗米人已经有了某种代数的概念。印度数学家婆罗门笈多撰写了《婆罗门修正历书》,收录一千零八首韵律诗,“供优秀数学家和天文学家娱乐之用”。该书完成于628年,它不仅提升了零在数学中的角色,也介绍了负数与正数的运算法则、平方根的计算方法,以及解各类线性方程和部分二次方程式的系统方法。
本书第7章谈到的10世纪著作《黄金草原和珠玑宝藏》提到一本更早的科学及天文学著作,名为Sindhind (梵语Siddhānta,音译“悉檀多”),这本历书中有记录太阳、月亮和已知行星的位置的天文表,以及星象数据和三角记号表。它是一本百科全书式的著作,记录了印度人所知的关于算术、天文学和所有其他科学的一切知识。
阿尔-花拉子密读完了《婆罗门修正历书》,很快将精力转向撰写阿拉伯文版的天文学专论《信德及印度天文表》(Zıj al-Sindhind ),该书是根据印度的信德人和印度人的方法写成,完成于825年之前。在研究特殊数学问题的过程中,他逐渐着迷于那些原本表示成文字形式及一部分为缩写形式的缺失量的求解方法。五年后,阿尔-花拉子密发表名为Al-Kitab al-mukhtasar fi hi sab al-gabr wa’l-muqabala 的著作,概略翻译为《有关还原与对消的科学》或《还原与对消计算概要》,简称为《代数》。请注意阿拉伯文书名中的al-jabr 这个词,它有时译为restoration或completion。事实上,这个词来自阿拉伯文中的动词to set(接合),如to set a bone(接骨)的用法。就像早期15世纪中叶古腾堡活版印刷发明之前许多其他手写稿的命运一样,阿尔-花拉子密的《代数》仅存最早的一批复本,年代不早于14世纪。而且,除了断简残篇之外,只有三部完整的复本留存下来。
帕乔利的代数专著是最早印行的代数书,阿拉伯文书名为Alghebra e Almucabala ,即《还原与比较》。他也把这本书称为《大术:俗称在还原与比较这门技术中的共同规则》。
另外有些作者根据其他阿拉伯文字,提出关于代数名称起源的看法。16世纪的法国数学家皮埃尔·德拉拉梅(又名彼得吕斯·拉米斯)在其著作《算术》(Arithmétique , 1555年)中,提出让人半信半疑的观点:代数这个名称是叙利亚语,指一位杰出男性的技术与理论。他进一步提到,某位博学多闻的不知名数学家,写了一本名为《平衡》(Almucabala )的书献给亚历山大大帝,该书讨论暧昧不明或神秘难解之事,后来称为Aljabra ,即代数的学说。
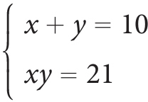
神秘难解,是的。但是,暧昧不明?Almucabala ,切斯特的罗伯特的阿尔-花拉子密著作拉丁文译本的这个书名,听起来确实让英语系读者有暧昧不明和神秘难解事物的感觉。或许这两个名称都适用于这门技术。对于一位学习这门技术的9世纪波斯学生来说很可能神秘难解的事,对今日的学生而言稀松平常。《平衡》中提到一个例子:
我将十分成两个部分,使得其中一部分与另一部分的乘积为二十一。
书中没有要我们求出那两个部分。相反,它进一步提出求得这个问题答案的方法(括号部分是我的解说)。
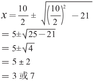
现在,我们令根 [x] 表示其中一个部分,我们将它乘上十减掉根 [ 10- x] ,这表示另一个部分。所得结果为十根减掉平方 [ 10 x - x 2 ] 等于二十一。十根部分补上平方 [x 2 ] ,并将此平方 [x 2 ] 加入二十一。由此得到十根 [ 10 x] 等于平方加上二十一 [x 2 +21 ] 。取半根,即五,接着自乘,得到二十五。从这个数减去二十一,得到四。取其平方根得二,以半根减去此数,余为三,此即为其中一个部分。
今日的代数学生会学到这种称为“配方法”的方法,用来处理二次方程式x 2 -10x +21=0。
纯符号运算过程如下:
x 2 -10 x +21=0
x 2 -10 x =−21(两边各减21)
x 2 -10 x +25=−21+25(两边各加中间项系数之半的平方)
( x -5) 2 =4(注意左边是一个完全平方)
( x -5)=±2(两边各开平方)
x =3和 x =7(两边各加5)
今日,阿尔-花拉子密的方法没什么神秘难解可言。配方法可远溯至古希腊时代,当时这类问题是以纯几何的方式处理,并且必须基于公理来证明。我们在《平衡》中看不到公理,或许这就是让该书显得神秘难解的原因。上述过程中所用的法则,遵循了某种偏向平衡方程式和开方求根的构想,也遵循了我们无法轻易地用9世纪的逻辑来表示的某种内在逻辑。
是什么让阿尔-花拉子密的研究成果不同于丢番图?《平衡》一书中的内容,除了一些小幅度的缩写改良、一种表示零的观念和符号,以及印度数字之外,看起来就像《算术》一样几乎都是以文字来表述的。它没有引进任何新符号。相反,该书列出一长串问题,根据不同的类别来组织安排。阿尔-花拉子密在该书第一页开宗明义写道:
我认识到数之还原与对消包含了三类,也就是根、平方以及数……
在这三种形式中,任两者可能彼此相等,举例来说:
平方等于根,
平方等于数,以及
根等于数。
所谓根,他指的是未知数,我们现在称为x 。所谓平方,他指的是未知数的平方,我们现在会记为x 2 。由此,用我们现在的符号记法,他的范例译为:
ax 2 = bx ,
ax 2 = c ,且
bx = n ,其中, a,b,c 皆为正数。
阿尔-花拉子密为我们提供了求解一般线性方程式和二次方程式的方法,将任一方程式简化为这三种形式之一。他的方法仅涉及在方程式的两边同加某量,以合并同类项到方程式的其中一边。这就是代数的运算方式:还原与对消。(在阿尔-花拉子密的时代,方程式不像我们今日的做法用某种等号来分隔两边——左边和右边,但如同分边做法的还原与对消概念应已合理可行。)代数符号只是提供了一种方式,更容易执行这种合并过程;但在数学领域中,符号的使用并没有让代数得以做超过文字所能做的事。一旦了解了这点,整个代数研究成为从单一有限形式的观点,来看待一类数量无限的问题。
这种挣脱束缚的灵感引出了令人惊奇的发现。
阿尔-花拉子密写道:
当我仔细思考人们做计算时通常需要的东西时,我发现那总是数字……两个平方的和加上其中之一根的十倍,得其和为四十八个迪拉姆,两个平方的量为何?
这里,我们会写成2x 2 +10x =48。
你一开始要先将两个平方简化成一个,而你知道两个平方之一是二者之半。接着,将叙述中提到的每一个东西化为自身之半,而这会让问题等同于“一个平方与该平方的五个根等于二十四个迪拉姆”,或者说,一个平方加上其根的五倍等于二十四个迪拉姆,该平方的量为何?
现在,取根数之半,其半为二又二分之一。
我们会写成
。
将其自乘,所得结果为六又四分之一。将此数加上二十四,其和为三十个迪拉姆又四分之一。
我们会写成
。
取其平方根,得五又二分之一。从此数减去根数之半二又二分之一,余为三。此即为该平方之根,该平方本身为九。
我们会写成
。
阿尔-花拉子密写道“取其平方根”。这个根
,是单数!对他来说,
只有一个平方根,亦即
。这使得他只求得一个解,也就是正根x
=3。我们现代的解法稍有不同。我们会用高中代数学生所称的“配方法”,如本章开头的做法:
取2 x 2 +10 x =48。
每一项皆除以2,得 x 2 +5 x =24。
等号两边各加上,得
。
化简上式,得。
两边各取平方根,得。
而最后,两边各减,得 x =3和 x =-8。
哇!这里的−8是怎么回事呢?
我们知道阿尔-花拉子密的解法受限于代数的运算技术,因为连接代数与几何的数学手法,当时尚未为人所知。
图11-1 x 2 +5 x =24的图形
利用二次方程式的几何思维,来推想阿尔-花拉子密的解。如果他知道并运用那种几何思维,他会将x 2 +5x =24视为与高度为0的水平线交于两个x 值——即3和−8——的图形(参见图11-1)。
或者说,如果他拥有符号代数工具,可分解x 2 +5x =24,他会注意到他的方程式相当于(x -3)(x +8)=0,这个方程式有两个解,x =3和x =−8。
阿尔-花拉子密借由《婆罗门修正历书》来认识负数,甚至了解到任何形如ax 2 +b =cx 的方程式都有两个根。婆罗门笈多将零定义为一个数,一个数减去本身之后所得的数。依此,他可以列出他的算术法则:
一个负债减零等于一个负债。
一个财产减零等于一个财产。
零减零等于一个零。
零减一个负债等于一个财产。
零减一个财产等于一个负债。
零乘上一个负债或一个财产等于零。
零乘上零等于零。
根据他的描述,我们应可做出结论,就是他把负数当作数。他的算术逻辑法则谈到“财产”和“负债”,并由此衍生出关于正数的想法和负数概念的提示。他知道在某些情况下,一个二次方程式会有两个根,而应用问题中的条件会让那个方程式排除掉其中一个根。即使晚至斐波那契的时代,人们仍然怀疑负数根真的存在。
直到近期,婆罗门笈多仍被认为是在任何现代意义上第一位使用负数的数学家。但在中国,自第一个千禧年之始就已经使用负数。它们出现在《九章算术》中(参见第3章)。因此,中国人使用负数的时间,比印度人早了四百年。
第12章 数学史上的争斗
代数不是一直被称为algebra。15世纪中叶,一些意大利和拉丁文作者称它为“物与积之规则”(Regula rei e census )。数学家偏好用简短的名称来为他们的领域命名——算术、几何、微积分、分析、数论、逻辑等等。
韦达率先称它为“解析技术”(analytical art)。沃利斯给了它一个英文名称specious arithmetic(似真的算术)。他的这个命名最可能来自希腊文
,意指“类别”,并特别指未知数的特殊
力量。“似真的”一词暗示一般用来表示所有已知量和未知量的类别——单子、平方、立方等等。15世纪时,specious这个英文词意指形式上看起来讨人喜欢但引人误解的。这个词在18世纪仍以这样的词义使用,英国辞典编纂家塞缪尔·约翰逊于1785年印行的《约翰逊词典》(A Dictionary of the English Language
)中还可以找到这个词。牛顿称代数为“普遍算术”(universal arithmetic),可能是因为它蕴涵了用于求解一般方程式的所有普遍的算术法则。彼得吕斯·拉米斯认为那个阿拉伯文名称algebra,是“一门[如此]精妙的值得赞扬的技术”这个正式名称的通俗说法。对笛卡儿来说,代数的阿拉伯文名称是barbarous(未开化的)。
表面上看来,代数似乎是根据一些运算法则来进行符号运算的技术。但另一方面,我们该如何理解一个问题,它要求一个数,使其加上自身的五分之一后会得二十一?我们可以用语言将答案表示为十七又二分之一。这个特殊的问题出现在阿美斯纸草书中。公元前1550年之前写在那份纸草书中的解法,今日学代数的学生不会了解,他们会简单写成
,然后用我们现代的代数法则轻而易举地使用那些符号,求解x
,并得
。学生们可能不会察觉到,有助于一般化、统合性及更深层理解的思维,全部直接来自记法本身。
20世纪数学家及科幻小说家埃里克·坦普尔·贝尔曾说——虽然他缺乏证据——在17世纪中叶,数学家之所以能够引进负指数和有理指数,是因为符号运算让他们的思考从杂乱无章的文字中解放出来。他在其广受欢迎的经典历史著作中写道:“那么,更多的荣耀要归于古人,他们坚持努力凭借错综复杂的文字来获取现代人用近乎机械化的几笔便能获得的成果。”
关于这一点,不乏证据,因为我们注意到,在许多世纪中,那些以文字表述形式来研究代数的数学家,无法看到我们今天所见的一切。利用新的符号来表示未知数的乘幂x , x 2 , x 3 ……暗示着x 乘幂的乘积如何被指数的加法法则支配。贝尔在他的著作《数学的发展》(The Development of Mathematics )中写道:“一堆难以置信的大量令人困惑的术语和无用的规则被扫入过去的历史中,随之带走了同样大量或更庞大的令人苦恼的想法。”
当今日的学生知道,在我们相当现代的负数观念出现之前,在我们可以用符号化的方式来表示负数之前,方程式ax 2 +bx =c 被视为与方程式ax 2 =bx +c 完全不同,往往相当惊讶。而上述这些方程式与ax 2 +bx +c =0也不同。这或许显得奇怪,因为对我们来说,上述任一个方程式的解,同样也是其他方程式的解;然而,16世纪之前,任意的有理常数项a,b 和c 都必须为正。
根据我们对符号的定义,大体而言,除了精妙的数字和象形图案之外,巴比伦数学里没有其他符号。即使是丢番图,如同我们已经知道的,也没有运用符号运算的全部力量。但我们仍然运用代数这门技术,因为它过去不是——而且从来不是——仅局限于符号操作。代数——借由一种错综复杂的文字表述或借由符号本身——是理解关系的技术,其中“相等”只是众多关系当中的一种。
每个时代都会有令人惊叹的人物应运而生,不是推动人类的进步,就是让世界变得更美好——略举几位人物,如古腾堡、伽利略、达·芬奇、马丁·路德·金和曼德拉。我毫不怀疑像牛顿和莱布尼兹这样伟大的数学家,即使在一个没有任何符号的世界里,也能有了不起的数学成果。同样,我毫不怀疑在那样的世界里,他们的研究会变得极为艰难,而且遇到可能几乎无法克服的阻碍——几乎 ,因为对人类来说,几乎没有什么是无法克服的。所以是什么因素让符号和代数记法在16世纪下半叶大量涌现,那股迸发的力道强大到足以自17世纪后完全改变数学和科学的研究方式?
想象一下,如果代数仍然完全是以文字表述的,或甚至只是缩写,今日我们的世界会是什么样子?学代数的学生会害怕他们的初等代数教科书中通篇充斥的那些“文字题”。那些问题比15世纪的学生必须求解的问题简单,因为现代的学生知道他们要做的只是把问题改写成符号记法,然后再用符号运算的法则来想办法。
计算代数(abacus algebra)始自斐波那契的时代,14世纪中叶开始蓬勃发展。它是一种传统的解题方式,源自计算学校以及处理大数的算术和代数问题的计算师傅的论著,那些问题由运算法则或几何论证来支持。这项传统成为符号代数在16世纪上半叶开始兴起的部分助力。
是代数的概念促进了符号的发展,而非符号带来代数的发展。在雷科德注意到他可以设计一个符号
来表示“is equal to”(是等于)这三个字,轻松“避免冗长的重复”之前,他已经在其著作《砺智石》中写了差不多两百次那三个字了。最初的诱因是需要让文字简略,但一旦相等的符号安排妥当,其他符号便沿用同样的方式处理。这个符号的简洁特色无意间带来一个好处:它在大脑里形成了一个简朴的图像,可以促进理解。
早期的史学家认为,最早用阿拉伯字母表中的字母来表示算术运算的阿拉伯人,是阿拉伯代数学家阿尔-卡拉沙第(al-Qalasādi)。他出生于巴斯塔(Bastah),位于今日西班牙东北部的摩尔人城市,在那里学习律法和古兰经。后来,卡斯提尔人开始东征,他往南移居到安达卢西亚的格拉纳达。15世纪早期,几乎整个西班牙和葡萄牙都被阿拉伯人占领,并且经常与卡斯提尔和亚拉冈(Aragón)的基督徒发生战争。阿尔-卡拉沙第写了七本算术书和一本代数书,书中以缩短的阿拉伯文和字母来构成数学记法。他的代数论著《算术科学的阐明》(Al-Tabsira fi’lm al-hisab )中的确使用了这样的记法。
他的记法显然是在尝试通过缩写的方式来让代数符号化,一种近似我们会认为是真正的符号的最早符号;然而,我们也应该注意到,北非的阿拉伯数学家已经使用这些符号至少一世纪,阿尔-卡拉沙第不是原创者。在阿尔-卡拉沙第之前一世纪,马格里布(Maghreb) [1] 的数学家伊本·阿尔巴纳(Ibn al-Banna)和伊本·亚萨敏(Ibn al-Yasamin)也已经设计出一种简略字母表记法的体系,而且可以确定的是,13世纪之前很久,东方就已经使用这样的字母符号了。
现在,小小的事情发生,再次推动人类智识的进展,并惠及全世界。想想伴随着自20世纪40年代以来便与我们同在的现代可程序化计算器革命而出现的语言工具,以及它们的快速变革如何为我们带来了现代笔记本电脑和网咖。仅依赖低阶机器或汇编语言,而没有通用计算机程序语言,我们能拥有那些笔记本电脑应用程序吗?当然可以!但我们得同情需要做那些工作的人,并且想象一下那得花多少时间。需要比受过教育的我们更具天赋的人才能忍受那样的单调沉闷和复杂程度。
所以,16世纪正是符号发展的早期阶段。没有16世纪晚期发展出来的符号语言,我们能拥有现代数学和物理学吗?当然可以!但要达到同样的成就需要付出什么代价?至少需要一大群人投身于数学领域。
阿拉伯人将代数这门技术带到西班牙后,意大利随即培育了这些漂泊到欧洲的代数种子。不幸的是,除了斐波那契的研究成果之外,我们对1300年之前的欧洲代数著作几乎一无所知。最早的那段时期的著作出自斐波那契、计算师傅保罗(Paolo de l’Abacco)和帕多瓦的贝尔蒙多(Belmondo de Padua)等人。到了15世纪末,代数的研究范畴尚未超出仅有一个未知数的二次方程式,程度接近今天的高中课程大纲。回顾当时,这门技术仍然是以文字表述的形式进行;那时还没有用来表示未知数或做运算的记号或符号,而且二次方程式只允许有正根。
1505年,费罗(Scipione de Floriano de Geri del Ferro,或更为人熟知的Scipio del Ferro, 约1465—1526年)解出一个复杂三次方程式特例,x 3 +ax =b ,其中a 和b 皆为正数。在当时,人们仍然怀疑负数的存在,因此没有使用负数。零也有同样的情况,尽管零已经传入欧洲超过四个世纪,人们依然认为零的概念很可疑。所以,方程式x 3 +ax =b 与x 3 =ax +b 被认为是不同的东西。在我们现代的符号代数中,我们使用负数和零,上述两个方程式与通例x 3 +ax 2 +bx +c =0没有太多差别。
费罗的解——就像当时大多数数学一样——不是用文字系数(literal coefficient)求得,而是策略性地选择方便的数字。解答特殊三次多项式x
3
=9x
+28的公式解,并求得其解为x
=4和
,让我们有信心找到通用方法。人类的思维发展出自己的方式,通过反复出现的范例来处理抽象问题,但令人费解的是,它也从单一范例归纳出一般化规则。没有符号,肯定很难办到。求解过程中,可以清楚知道系数9和系数28可能是为了方便计算而设,虽然它可能局限了任何一般化程序的发展。这是费罗的时代处理代数的方式。
费罗所知的一般程序是,巧妙地利用变量代换,
,将一般的三次方程式化简为一个没有二次项的方程式,尽管它是以几何的方式进行,并且仅适用于特定的三次多项式,所以a
代表的是一个特殊二次项的系数,一个特定的数。代换的想法,对于现代代数中将复杂问题简化的程序来说是如此普通,我们对这个才华洋溢、令人敬佩的构想必定感到惊叹,并且好奇在不使用符号的情况下怎么可能完成如此非凡的创造。这个概念不容易用文字表述,它必然借助符号化的巨大好处才能完成。所以费罗建构出三次方程式x
3
=ax
+b
的一般解:
如果这看起来有点麻烦,只要想象一下,没有我们现代记法的符号,在费罗的时代,或甚至一百年之后,要处理这些问题是多么可怕痛苦的事。应用到x 3 =9x +28,其中a =9且b =28,方程式整个右边“崩解”,得x =4。费罗不知道这个方程式应有三个解,但这点留待第14章再讨论。
到了1545年,意大利人——特别是卡丹诺、他的学生费拉里(Lodovico Ferrari)和他的对手塔尔塔利亚(Niccolò Fontana Tartaglia)——已经解出一般的三次方程式和四次方程式。同一年,卡丹诺的《大术》出版,这个书名是正式书名《大术,或代数规则,卷一》(Artis Magnae, Sive de Regulis Algebraicis Liber Unus
)的简称。它收录了截至当时所有关于三次方程式和四次方程式的知识,包括(首次印行)那些三次方程式有实数根和复数根(称为“真实的”和“虚构的”)。该书以几何的方式提出法则,并且承认是塔尔塔利亚提供给了卡丹诺解三次方程式法则——不是证明——的信息,而塔尔塔利亚是从费罗那里学到那些法则的。当时所有的代数主要仍是文字表述的代数,夹带着一些符号,例如以
表示根。据推测,
是代表“根”的拉丁文radix
的简略写法;负数的平方根会写成
,所以
代表
。费罗对一小群朋友、学生和同僚透露了他的想法,但从未发表。因此,我们没有费罗的著作作为直接证据证明这些概念源自费罗,唯一的说法来自卡丹诺,他曾从米兰前往波隆纳拜访费罗。
虽然他伟大著作的主要成就背后的故事,是数学史上最凶恶的优先权争斗之一,但卡丹诺的确推许过其他人,包括他的老友塔尔塔利亚。针对x 3 =ax +b 的解,卡丹诺在《大术》第一章承认:
在我们的时代,来自波隆纳的费罗解决了三次方与第一个乘幂等于常数之例,一项极为出色又值得赞扬的成就。由于这个技术超越所有人类能力的精妙,以及凡人天赋所能达致的简明,并且是一种真正的天赐礼物,也是对人类心智能力一种非常清楚的检验,任何致力于此道的人终将相信,没有什么是他无法理解的。为了效法他,我来自布雷西亚的朋友塔尔塔利亚,他的才智无法被忽略,在涉入一场与他[费罗]的弟子费奥(Antonio Maria Fior)的竞争时,解出了那个问题,而在我的深切恳求下,他将解法给了我。
他们之间的宿怨与上述承认无关,而是因为卡丹诺对塔尔塔利亚承诺将会保密,不会发表那项解法。卡丹诺提出他的版本的解法,一种纯几何式的解法,因为他没有解决这个难题的必要符号工具。举例来说,我们可以通过将(a +b )连乘三次,运用一些代数法则,来证明(a +b ) 3 =a 3 +3a 2 b +3ab 2 +b 3 。卡丹诺没有这样的优势,他必须以图解一个几何立方体的方式,来求得同样的结果。
他用文字表述的方程式有一个巨大的缺陷。它需要一长串的方程式,部分原因是他不使用零。他怀疑乘法的符号法则,在《大术》出版后二十五年,他仍主张负乘负得正在数学上的真确性就像说正乘正得负一样。他写道:“而故此,错误主要在于一般主张的负乘负得正,以免使得负乘负得正确实比正乘正得负来得正确。”所以很难理解他为何存有这种怀疑,却又支持线性方程式的负根并接受负数的平方根。
《大术》是代数中一部真正的突破之作。虽然书中没有那些即将发明出来的符号,也因此写得千辛万苦又读来累赘麻烦,但它让数学家有机会看到确实需要更好的符号,以便更容易更深化地理解。当时几何学更像是一门视觉逻辑的学科;为了促进内在逻辑,人们必须想象一幅画,至少是以心灵之眼观看。自毕达哥拉斯、欧几里得、阿波罗尼斯和阿基米德的时代以来,许多问题都像这样以几何的方法来解答——线、正方形,以及想象的空间立方体——用几何的方式证明,部分是因为没有太多其他方法可用。
举个例子,这里用纯几何推理证明代数恒等式x 2 -2ax +a 2 ≡(x -a ) 2 。先考虑正方形ABCD的图形(参见图12-1)。令x 表示边AD的长,a表示 线段ED的长。则x 2 是以AB为边的正方形的面积,ax 是以ED和DC为边的长方形的面积,而a 2 是以GF和FC为边的小正方形的面积。从大正方形面积x 2 ,减去两倍的ax 面积,我们几乎 可以得到以AE为边的正方形的面积。这里说几乎,是因为少了以GF为边的小正方形的面积(我们减了两次,应该只减一次)。所以,我们需要加回以GF为边的小正方形的面积。以代数的方式来说,我们的做法是先从x 2 减去2ax ,再加上a 2 ,可得(x -a ) 2 。因此,x 2 -2ax +a 2 ≡(x -a ) 2 。
图12-1 以几何的方式检验 x 2 -2 ax + a 2 ≡( x - a ) 2
卡丹诺没有我们现代以实际数字来代表系数的明显优势。他在证明前述恒等式时,处理方式是选定特定大小的a 值。所以他处理ax 2 =bx +c 这个形式的方程式时,会选定合于他的问题的正数a,b 和c ——例如1,10和144。在他的第一个例子中(《大术》,第五章),他告诉我们,x 2 =10x +144的那个 解是x =18(忽略了负根x =−8)。
若卡丹诺拥有必要的符号体系,可以直接进行代数运算,他可能会采取和我们一样的方式。根据法则来平衡方程式,他会将(x -a ) 2 看作(x -a )(x -a ),用分配律将右式化为(x -a )x -(x -a )a 。接着,他会用交换律得x (x -a )-a (x -a ),然后再用分配律得x 2 +(−ax )+(−ax )+(−a )(−a )。但到这里会遇到困难,因为他必须承认(−a )乘(−a )等于+a 2 。他会反过来认为最后得到的+a 2 不是因为(−a )乘(−a )等于+a 2 ,而是因为它是那块原本只需减一次,却被减了两次的面积。他甚至可能引述欧几里得《几何原本》第二卷的命题7,以便确保我们可以用几何的方式来减和加正方形与长方形,由此得到想要的结果。即便他手边拥有适当的符号,他仍然需要有代数法则来验证他想进行的每一步运算,这样的法则在当时尚未完全准备好。
而谈到求解高于三次的多项式的详细证明,几何的帮助就不大了。“超出这一点就会变得愚昧了。”他写道,“自然法则不允许这么做。”所以《大术》难写又难懂,特别是谈到解高次方程式时。卡丹诺自己告诉我们,这是非常困难的工作。
卡丹诺的著作中最值得注意的部分是,虽然它是以文字表述的且处理起来很烦琐,但它明确认可虚数解和复数解,这些是早期作者完全避而不谈的。即使他没有将两个负数相乘以得到一个正数,但他对于乘和除两个平方根没有疑虑。
代数一直受到早期的语言和记法拖累,那些语言和记法阻碍了我们以一种符号化的方式思考。因此,我们很难确切知道我们的代数思维方式究竟起源于哪个时刻。想象一下,试着用未知量及完全以完整名称来表示的量做运算思考。人们痛恨烦人的重复;重复得太多的时候,他们开始寻求简化。
我忆起年方十五的那个夏天,在舅舅的网印工作坊(非法)工作了一星期。就像《摩登时代》里的卓别林一样,一整天从早上八点半到下午四点半,我像个单电路机器人般站在同一个位置,从网版上将墨还没干的海报移到干燥架上,一张接着一张:伸开双手,抓住海报两角,举高,转身,滑入架子,放开海报两角,转头,重复相同程序。无聊的时光里最有趣的部分是,一个架子满了,必须把另外一个架子推到指定位置时,会中断机器人般的程序,有机会走一两步。我计算着每一分钟,并且一张一张计算着移动了多少张没干的海报。让这个过程甚至更加难熬的,是一个就高挂在干燥架正前方墙上的巨大赛斯·托马斯(Seth Thomas)时钟,那个时钟很可能是为火车终点站设计的,它简直是世界上最慢的时钟。
每个晚上,我会发明和勾勒一个新奇的机械玩意儿,希望有一天它可以让白天那些单调乏味的人体传送带工作更轻松。可惜我没有精明地将我的想法申请专利……
人类总是制造工具或发明机械来做重复性的工作;他们对反复出现的问题,构思出抽象的解法;他们造出速记法来处理累人的冗长话语。也因此,写了数千次反复出现的算术文字后,数学家突然想到可以用文字的首字母来替换文字本身。
引用物理学家恩斯特·马赫的说法:
这或许听来奇怪,数学的力量在于它可以回避所有不必要的思考,并且在于它令人赞叹地节省了脑力劳动。即使是那些我们称为数字的排列记号(arrangement-sign),都是一种不可思议的简明又有效率的系统。当我们应用乘法表来进行多位数的乘法,从而使用已有的运算结果,而非每一次都重新进行整个运算时,当我们查阅对数表,已经进行过的计算因而取代并省去了新的计算时,当我们利用判别式取代总是要重新求解方程组时,当我们将新的积分式化为熟悉的旧积分式时,我们在这个简化的过程中,看见了一位拉格朗日(Lagrange)或一位柯西(Cauchy)的智识活动的微弱投射,他们借由伟大军事指挥官般的敏锐洞察力,以旧的已知操作取代新的操作过程。当我说最初等的数学与最高深的数学一样,都是有效率而有序的计算经验,准备好为人们使用,没有人会反驳我。
[1] 非洲西北部一个地区,阿拉伯语意为“日落之地”。古代原指阿特拉斯山脉至地中海海岸之间的地区,今日阿拉伯马格里布联盟包括摩洛哥、阿尔及利亚、突尼西亚、利比亚、毛里塔尼亚等国。——编者注
第13章 崭露头角的符号
在卡丹诺的《大术》付梓之前一年的德国纽伦堡,人们正研读施蒂费尔的《整数算术》(Arithmetica Integra ),一本关于算术和代数的专著。施蒂费尔在书中纳入了几种已在使用的符号,比如+,-和√,而他也实际称这些符号为“加”“减”和“根”;然而,没有代表“等于”的记号。
开始出现在欧洲代数手稿中的符号有两种相异的风格:一种来自意大利,另一种来自德国。意大利人使用cosa(“什么”或“东西”)这个词来指一个方程式的未知根。而由于代数基本上就是要找出这样的cosa 的技术,欧洲北部的人开始称代数为Cossic Art(解未知数之术)。
根数(平方根、立方根等等)最早的记法可追溯至约1480年,被开方数(被开平方的量或是被开立方的量)之前放一个点,就表示这是一个平方根:两个点代表四次方根,三个点代表立方根。到了1524年,这个点已经进化成一个带着一条往右上方弯曲尾巴的黑色圆点。它看起来非常像一个音乐符号,像这样
。还好,这个新符号很睿智地不是使用重复本身这个老方法来表示立方根和四次方根。相反,它使用另一个附加的符号,来表示根的等级(rank)。这样一来,
表示的就是2的平方根,然后
表示的是2的立方根。要表示四次方根的时候,会使用一个额外的点,因此,
表示的是2的四次方根。
当时的代数只涉及了求解三次和更高次的多项式。以我们现代的记法,解答通常会以
这样的二项式来表示。一个拉长的L会和cs
——拉丁文communis
(共同的)的缩写——并用,来表示这个根要被应用在整个二项式中。L的底部会在二项式下面延伸。例如,
表示的是
,其中的加号在德国的手稿中已经偶尔使用。
鲁道夫的著作《求根术》(1525年)的施蒂费尔版本,就包含了代表平方根的符号
(和我们的√非常相似),还有代表立方根的
,以及代表四次方根的古怪
。因此,
64=4,
16=2。这非常古怪,因为这些符号势必会造成
64等于4,以及
16等于2的各种误解。第二项是正确的,第一项则不然。很明显,鲁道夫并没有想在
与
的相似度之间建立任何关联,但史学家还是搞错了他的原意,将他代表立方根和四次方根的符号写成√√√和√√。这种混淆表明要设计简单易懂的符号,是多么困难的事。
鲁道夫所给的平方根符号,还有另一个不利的条件。他的读者如何分辨
和
?他们必须仔细查看是否有那些点。为了说明他指的是
,他会写成
.
512+16,其中的点代表的是包含整个下一项的组。
《求根术》也许是以德文写成的第一本完整的代数著作。它是一本到16世纪早期所有已知代数知识的参考文献,更是未来教科书作者的绝佳资源。在它付梓的时候,大多数符号仍然只是文字的缩写而已,没有任何的标准形式存在。虽然+和-偶尔会出现,但p
和m
也一样常见。
可以表示为R或
,或者res
(x
)(拉丁文中的“东西”),代表的是必须找出来的未知事物。《求根术》出版后多年,史学家认为
这个符号是字母“r”的速写。欧拉也这么认为。然而,如同我们所见,这个符号可能是从德文手稿里那个点发展成的符号
,一种带条尾巴的点,也许是笔尖快速画下点之后所留下的痕迹。在施蒂费尔版本的鲁道夫《求根术》里,原本的符号
并没有上面的横条,让这个符号看起来像是个字母“r”。
有个被称为比萨的达地师傅(Maestro Dardi di Pisa)的人,在1344年写了一份未出版的手稿Aliabraa arbibra
。除了知道这个达地是算盘师傅,在将简略记法(abbreviated notation)引进中世纪数学中扮演了重要角色之外,这位作者的生平几乎无人知晓,而且这份被认为是最早以意大利方言写成的代数专门手稿中,甚至没有出现他的名字。Aliabraa arbibra
里所使用的缩写,包括代表根的
,
(意大利文表示“较少”的词meno
的第一个字母),代表未知数的c
(cosa
的第一个字母),以及代表四次方的ce ce
(而不是censo di censo
,平方的平方)。运算并没有被符号化;然而,书里包含了一些应该是用来教授乘法的有趣图表。达地的计算强迫他思考如何表示如
这样的平方根中的平方根,因为如果照以前的写法,会写成“
de zonto censo co
de 12”。
鲁道夫所设计的平方根符号,被施蒂费尔于1553年稍微修改了一下之后,流传了下来。因此,到了1570年,德国的符号√进入欧洲,往西传入法国和英格兰,往南到了西班牙和意大利。
许多追溯回帕乔利的作者皆使用了
这个记法,它很快变成了草写体的
,通常用来代表多项式的根。丘凯在他的代数著作《数学三篇》中使用了这个记法(以2为上标),但不是当作多项式的根来使用;他想用它来作为平方根的符号。我们并不清楚《数学三篇》到底是何时完成的,应该是1484年左右,但这份手稿是在18世纪70年代发现的,而因为几乎过了四百年才印行,它不可能对记法的历史发展有任何重大影响。当然,除了让丘凯的学生拉罗什(Estienne de la Roche)偷偷抄写了这部著作,并以自己的名义出版,获得撰写第一本法文代数书的荣耀。
对丘凯来说,一个数即是第一个根。如果他写的是
,那他指的就是数字9。如果他写的是
,那他指的就是3。1484年,丘凯写道:
一个数的根即是一个数,根据根的要求和本质,它自乘一次或多次,会精确地乘出根数所属的原数。或者相反,一个数的根满足:被写下或设定两次或多次,一个在另一个之下,或者一个在另一个旁边,然后,第一个乘以第二个,还有,乘上第三个,如有第三个,再乘上第四个,再乘下去,如有其他,最后的乘积将会等于这个数,或者将造出有那个根的数。而且我们应该知道有无穷多种根,因为某些是第二根,其他是第三根,再其他是第四根,还有其他是第五,继续下去,没有终止。
阅读那个时代的其他著作时,丘凯的记法
让人困惑,因为很不幸,它的祖先
有两个意义。有时
用来表示x
2
,其他时候代表的则是x
。这个混淆来自拉丁文latus
(边)和radix
(根),研究希腊文献的数学家使用这些写法,而在那些文献中,所有代数都被几何遮掩。如果我们现在考虑一个几何正方形,那么,
代表的是它的边x
,还是它的边的根
√x呢?更让人混淆的是,这种记法有时指的是多项式的根,也就是对我们来说,会是所有未知数的可能值。唯一可以判断的方法,就是根据上下文来推断,所以读者必须非常细心。这个问题源于帕乔利,因为他将
用在根和乘幂两者上。他在其《大全》(Summa
,1494年)中写道:
以及
如此笨拙的记法会引出问题。在上述的第二行中,那些数都比它们所代表的乘方要高一个单位。我们想用x n 来表示x 乘以本身n 次,这也是它应该拥有的意义,好让我们这个精妙的指数乘法公式得以成立:x m x n =x m+n 。帕乔利的记法有那个不需要的减1作为指数:
我们可以忽略这种粗糙情况。这个公式是可行的,而且
的确可以代表x
的乘方,只不过不是n
个复本。但是,粗糙并不是唯一的考虑。当时似乎没有一种可以用符号来表示乘方相乘的方式——也就是说,不回归以文字表述的方式就无法写出(x
m
)
n
,而我们也无法得到我们那个漂亮的公式(x
m
)
n
=x
m·n
。换句话说,如此笨拙的记法,正是更先进的符号表示法的一种阻碍。
虽然是个阻碍,但它还是有个优点。它将代数式的项,从它们古代几何的隐喻之中解放出来。自巴比伦时代以来,一个数的平方和立方就已经在思维里与几何的正方形和立方体联系在一起。欧几里得谈论正方形的时候,用的是
(“乘方”,也就是我们谈指数时用到的词)。当两条线的长度可以用同样的尺度(yardstick,用欧几里得的说法是pygon stick)衡量时,他会说两个量(magnitude)“在乘方上是可公度量的”。要使用同样的尺度来衡量正方形的对角线和正方形的边是不可能的。因此,对欧几里得来说,“乘方”纯粹是一个几何字眼,而不是一个由自乘所构成的数。
丘凯的数值记法
,
,
,
……已经超越了维度的几何比喻的可能性。一个直接的优势是,我们对这样一种观念如何延伸到负数会感到好奇。而丘凯的确对此感到好奇。他会用
表示
的指数形式2x
−
1
。这种记法迫使x
0
等于1,而丘凯知道这种关联并使用它。
倒过来想,《数学三篇》对现代指数记法的早期发展应该有所贡献,它会大大加速了代数的进步。但是事实上并没有。它比同时代数学先进了一百五十年;然而,由于它既未付梓也未被流传,因此数学家并不知道丘凯和他的《数学三篇》。也因为如此,负指数这个想法必须等到大约一百七十年后,当沃利斯的《普遍数理》使用负指数之后才浮现。
施蒂费尔在1553年出版了《求根术》的一个版本,我们的多项式
[1]
x
2
-3x
+2以1Zm
.3Rp
.2的形式出现在该书中。在这样的记法里,Z
代表的是未知数,也就是x
2
。它来自zensus
这个词(拉丁文census
的古德文拼法),意思是“……的数”(number of)。R
代表的是Z
的平方根,在我们现代的记法里,它表示的是
,因此一定都是正数。这么一来,用更好的记法就可以揭示的负数根的想法受到阻碍,从而虚根有可能在一开始就被排除在外了。
到了1575年,该式子(1Zm .3Rp .2)变成了1Q -3N +2,后来变成1AA -3A +2。后面这个记法的优点是,它会清楚展示前两项的关系,也就是说,乍看之下,第一项和第二项除了乘方之外,几乎没有不同的地方。把这个多项式写成1AA -3A +2的时候,我们可以看出第一项和第二项的关系,但当这个多项式写成1Q -3N +2时,我们是“看”不出这个关系的。这个多项式的现代记法是x 2 -3x +2。
[1] 此处原文误为方程式(equation),兹订正之。——译者注
第14章 笛卡儿的过人之处
“我觉得有必要说明这个在所有数学门类中,被今日大众称为代数的学科所拥有的最高地位。”邦贝利在1572年写道。邦贝利是工程师,工作和开垦沼泽地及建造桥梁有关。他的《代数学》(L’Algebra )于1579年出版,但早在二十年前,在托斯卡纳中部瓦尔迪基亚纳(Val di Chiana)沼泽的排水工程工作间隙时,他就已经开始撰写了。我们在《代数学》中见到了一种对于未知数及其乘方的新记法。举例来说,多项式x 2 -3x +2的现代记法是从卡丹诺到笛卡儿时代历经中间几个阶段演化而来。以我们的标准来看,这些阶段之间的间隔既多又漫长。
邦贝利出版《代数学》之前二十七年,卡丹诺尚在撰写他的《大术》,这时等式的使用没有任何从属关系。拉丁文aequalis 自由地用来表示两个式子是相同的,而且可以在没有损失的情况下互换。aequalis 的两边有相等的地位(rank)。
几年后,雷科德在他的《砺智石》中将他的双子(Gemini)记号引进欧洲北部。它像是一个拉长的我们的“等于”记号,一个出现率比“+”和“-”低,却比整个世界的海量数学文献里所有其他符号出现得更频繁的记号。
而为了避免“是等于”这些冗长的词语一直出现,我会如往常工作一样,设定一对并行线,也就是等长的双子线,因为再没有两个东西可以更能代表相同了。
这个双子,这个方程式 [1] 的至高符号,是一个送给我们现代符号集体的大礼。它的设计非常聪明(雷科德率先使用之前,也许意大利人也设计过),意在提醒有两个东西是完全一样的——一个有助于推理过程的简单发明。
邦贝利一定知道雷科德的著作《砺智石》,他想告诉我们一个式子引出另一个式子的时候,还是写了fa (“使得”)或是eguali (“等于”)这些字眼。在《代数学》中,你是不会找到等号的。我们在两个式子之间几乎不会看到è eguale a 这些词。当我们希望有效说明两个东西是可以互换,并且在某种实际情形中没有差别的时候,我们会使用“等于”这个词。我们可能会说四个25美分等于1美元。25美分硬币的成分主要是铜,1美元纸钞的成分则主要是木质纸浆和织物,以物理外观来看,它们是不一样的。有时候实际使用时,比如到便利店买口香糖,它们是没有分别的。但是,到时尚餐厅用餐,然后用25美分硬币付账,你就会知道差别在哪里了。
以意大利文写成的《代数学》在使用相等的时候,跟我们的观念是不一样的。诸如fa,faro,eguali 和eguale 这些词是单向的。说出sommato 1 uia 1, farà 2 (“1与1的和为2”)与说出“1加1等于2”是不太一样的,因为在意大利文中,“2”是隶属于“1加1”之下的。在式子1+1=2之中有个概念上的不同,妨碍了等式两边的平衡。拉丁文aequales 是“等于”的意思,代表的是两个可以完美互换的个体之间的无偏对偶性(unbiased duality),但邦贝利却选择了单向的fara 。雷科德的记法非常适合且具优势的点在于,它所提供的正是当数学家需要两个个体在没有任何无心暗示的从属关系之下,可以自由互换的对偶性。
1572年时,邦贝利会将x
2
-3x
+2写成
,有时是
,或是要将两个多项式相乘而把两行对齐的时候,写成
。我们可以在图14-1中看到他如何平方多项式−4x
2
+5x
+2,正确得到16x
4
-40x
3
+9x
2
+20x
+4。
让我们检视一下邦贝利如何执行这项乘法,看看他如何使用符号来做代数(参见图14-1)。在第一条水平线之下有两列,其中一列标记più (“更多”,意即“加”),另一列标记meno (“更少”,意即“减”)。在più 列中,他将2相加得4,然后将dignità 1的系数相加得10,然后又是一个10。接下来,他将dignità 1的系数相乘得25,并进位到dignità 2。他再将dignità 2的系数相乘得16,并进位到dignità 4。这样più 列中的所有计算就完成了。在meno 列中也是用类似的乘法和加法。在不弄混dignità 的情况下相加两者,得到正确答案如下:
图14-1 《代数学》,封面和第二卷第217页,Centro di Ricerca Matematica Ennio De Giorgi
他所称的dignità 就是我们现在说的exponents(指数)。现代意大利文中的dignità 译成英文是dignity(尊严),对于我们称为“次数”或“指数”的东西来说,这个词看起来似乎有点奇怪。对邦贝利来说,更高的次数代表的是尊严的阶级制度。他的著作第二卷开头就是“Nomi delle dignità, e forma delle lore abbreviature”(尊严、值及缩写形式的名称)。然后他列出dignità 如下:
我个人偏好的词是“尊严”而不是“指数”。exponent这个词来自拉丁文ex-ponen ,我将它理解为“安置于上”,其中“于上”暗示了一种阶级,或是一种乘方的排名。古英语中的dignity意思是rank(地位);莎士比亚用它来分辨两个相似但地位不同的东西:
然而,不同的肉身有不同的地位,
但一旦化为尘土,就再也没有分别了。
我们从这里可以看到邦贝利在将dignità画成 托住数字的小杯子时,所创造的不只是真正的符号,也创造了新的数学名词。
这些精巧的、真正的符号将代数从几何学中独立了出来。邦贝利在手稿的前两百页里,使用了传统书写多项式的方式,也就是用Q (quadrato )代替Z ,所以1Zm. 3Rp. 2会变成1Q.m. 3R.p. 2。
数的阶级制度让指数相乘的规则更显而易见。利用这些新符号,更容易看出:
那么邦贝利到底为什么给我们下列这么一长串dignità 的乘积呢?
图14-2看起来像一群会让现代读者昏昏欲睡的羊的涂鸦。但最困难的事实是,我们容易从自己已知的观点去看待所有事情。我们知道x n x m =x n+m ,因为x n 在定义上不过就是n 个x 的乘积。因此,我们只需要数数x ,就可以说服我们自己:n 和m 只要是任何正整数,就可以无限进行下去。然而,这么普遍的观念对于邦贝利所在世界的读者,可是非常陌生的。
邦贝利关心的是当a 和b 为正数时,三次方程式x 3 =ax +b 的特定解。一个例子是我们在第12章提到的方程式x 3 =9x +28。一个解可以由简单的猜测x =4获得,但另外两个解呢?这两个解会迫使我们做出荒谬的事情,比如取一个负数的平方根。
一般形式为x 3 =ax +b 的三次方程式之解,是费罗带给我们的(参见第12章):
图14-2 邦贝利冗长的 dignità 乘积。资料来源:《代数学》,第二卷,第205—206页
将费罗的公式带入方程式x
3
=9x
+28,其中a
=9,b
=28。得到的解是x
=4。那我们这些现代数学家知晓的另外两个解呢?表面上,费罗公式只给了我们一个解,即使立方根中的平方根不是负数。我们说过x
=4,但如果我们实际将a
=9和b
=28带入,我们会发现
。的确,
,
。但如果我们真的想解出
,我们会设
,然后设法解出x
。这也就表示我们要找出方程式x
3
=27的解,而由我们的现代记法,我们知道x
3
-27=0。等号的左边,会分解成(x
-3)(x
2
+3x
+9)这个乘积。
这最后一个方程式有三个解,其中一个是由x
-3=0得来的,其他两个则是由二次方程式x
2
+3x
+9=0得来的。当我们将所有解加入
和
时,我们得到x
=4和
,也就是x
3
=9x
+28的三个解。
想象一下邦贝利遭遇负数的平方根这些诡异的东西会怎样。在他的《代数学》第二卷中发生的事情非常奇妙,但如果我们继续探讨的话,会和我们原来的方向有所不同。如果想往该方向探索,请参阅巴瑞·马祖尔(Barry Mazur)精彩(也可以说“杰出”——如果这个词真的可以让大家不要怪罪我那真诚但可能偏袒亲人的溢美之词)的著作《数的想象》(Imagining Numbers )。而现在,我们可以满意地知道邦贝利遭遇并接受了虚数,甚至为它们创造了缩写记法。
più radice di meno
(“更多的负根”)缩写为più di meno
,并进一步缩写为p.dm.
。因此,
会写成p.dm.
2,而
只会写成p.dm.
。这时候,距离用符号i
来代表
还有一段不短的时间,但p.dm.
是个很大的进步,因为如果设计出适当的记法,计算上的错误会大大减少。欧拉在两百年之后书写的
和
的错误,如果当时有记法能将第一个乘积记为
而得
,第二个乘积记为
)得−2的话,这种情况是可以避免的。当然,我们必须原谅欧拉,毕竟这些错误发生在他的《代数原本》(Elements of Algebra
)付梓时,而当时他已经失明了。虽然欧拉是将虚数
设为i
这个符号的人,不过直到高斯于1801年使用之前,它并没有再度出现。
西蒙·史蒂文会将多项式x
2
-3x
+9写为
。不知为何,那个cosa
,那个“根”,那个“东西”——反正就是那个未知数的名字——是被理解的,因此在记法之中完全没有出现。1591年,韦达会将这同一个多项式写为A quad
-3 in A
+9 plano
。然后,1631年,哈里奥特会将它写为xx
-3x
+9。他同时做了一件非常聪明的事。直到那个时候,数学家对于多项式的根,也就是会让多项式等于零的数,是很感兴趣的。哈里奥特这个巧妙的想法是,先将一个多项式设定为等于零,借此设定一个方程式,然后找出满足这个方程式的数。你可能会认为这只是一个语法上的差异,不会创造出任何新颖的东西,但是,这个想法却开启了一扇全新思考多项式的门。他看到多项式可以和一个数一样,由因子的乘积建立起来。举例来说,我们之后会看到x
4
-4x
3
-19xx
+106x
-120=(x
-2)(x
-3)(x
-4)(x
+5)。
这个巧妙的想法彻底改变了游戏规则:解多项式的根的问题,迅速地变成分解多项式的问题。一个简单的语法调整,促进了每个多项式方程式都有个实数根或复数根的可能性。不过,要用让人满意的严密性证明它,可不是17世纪的方法能做到的。这样一个证明必须等待将近两百年,以我们现在所知晓的代数基本定理 的一般形式出现,明确地告诉我们:任何一个多项式的根的数量(算上复数根)会和它最高的次数一样多。
更重要的是,这个想法赋予数学家一个恰当的代数形式的意义。将所有的项放在一个方程式(等式)的左边,然后让孤立的零放在右边,形式的重要性便会突显出来。这样,方程式x 2 +3x +2=0的形式就明显会和3x +2=0不同,而5x 3 +2x 2 +3x +2=0又是另一种形式。代数不只关乎方程式,而且也和形式 有关。
最后,笛卡儿于1637年在他的《几何学》中,想出了用数字上标来标记多项式的正整数指数。任何熟悉我们现代记法的人,都可以轻松地研读笛卡儿的这本著作。这个对我们现代人来说看似明显的简单想法,也就是将一个个乘方以数字等级排列,“次数”就是变量自乘的次数(换句话说,x 2 就是x ·x ,x 3 就是x ·x ·x ),立即改变了我们对多项式的看法和研究。笛卡儿的等级体系发展了从韦达和哈里奥特开始的,将未知数表示为x 及将x 2 表示为xx 的书写传统。
[1] 原文是equation,本义是“等式”。——译者注
第15章 用声音来代表符号
处在一个由意大利人、德国人和英国人提供丰富数学贡献的时代,以拉丁名Franciscus Vieta写作的法国数学家韦达,研究时拥有非常大的优势。
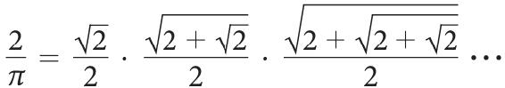
他在其著作《引论》(Isagoge )命题2六个段落的一百三十九个词中,完整地将他对于π 的著名计算展示出来。
他的命题2告诉我们如何得到π
的近似值,他先将一个正方形内接在一个圆之中,然后将每边的等分投影到圆上,得到一个正八边形,接着一直重复这个步骤,从八边形开始,然后用获得的多边形继续。这是个阿基米德发明的老方法,不过,精简了一点,好让计算更简单。韦达以Et eo in infinitum continuo progressu
(“然后我们持续增加直到无限”)这个六个词的句子,结束了他的命题。这是(就我所知)欧洲作者第一次使用无限重复一个代数过程的概念。在最后,我们以求解
等于下面这个无限多项嵌套(nested terms)的无限乘积的方法,求出π
:
对于这种嵌套平方根的无限和,即使是鲁道夫和丘凯也没有恰当的记法。不过,可以想象,在一些早期的德国手稿中,的确有可能出现这种记法。
韦达在早期可能会将多项式方程式x 2 -3x =2写为quadratum in A, minus A ter aequetur 2 ,其中A 代表的是我们会设定为x 的未知数。其他时候,他会使用“+”和“-”来作为代表加和减的符号,好让同一个方程式可以写成quadratum in A, −A ter aequetur 2 。
他在之后写下了X quadratum in A ter, minus A cubo, aequetur X quadrato in B 。这可以翻译成3X 2A -A 3=X 2B (或者按我们的写法是3a 2x -x 3=a 2b ),也就是,试图三等分一个在弦为B 、半径为X 的圆中的圆周角之方程式。A 代表的是该角未知的三分之一的弦。这里的变量是A ,不是X 。
韦达在这里展示了希腊几何与代数的密切联系,这是线、图形、立体的数学与符号代数的底层管道之间的联系,一种一直存在但几乎无人可完全理解的联系。的确,许多批注者非常清楚地看到了这些联系:亚历山大的希罗在1世纪想出了理解欧几里得几何的代数方法,而拉米斯则于1569年在他的《几何学二十七册》(Twenty Seven Books of Geometry )中写到几何与代数的关联。不过,让这个关联无比清晰的人,却是韦达。
在韦达的《几何学》(Geometria )中,他对于3X 2A -A 3=X 2B 这种形式的方程式非常感兴趣。它们就是我们现在所称的“齐次方程式”,也就是说,每一项中次数的和都会是3,而它的理念是只会将同维的项相加。欧几里得的《几何原本》中出现过这种形式的方程式。第二卷的内容都是长方形、正方形和其他图形的几何。如果你好奇几何学如何可以变成代数,你可以这样想:加或减这些运算,就像延伸或缩短直线一样;两个数a 和b 的乘积,就与一个有两个邻边a 和b 的长方形一样。求数a 的平方根,相当于找出面积为a 的正方形之边长 [1] 。我们可以从代数的观点看到这些关系,不过欧几里得要证明的是几何定理,而不是代数的。
代数的意涵可以从《几何原本》第二卷命题4来理解。该命题内容如下:
If a straight line be cut at random, the square on the whole is equal to the squares on the segments and twice the rectangle contained by the segments.
如果一条直线随机地切成两段,直线上所张拓出来的正方形,会等于两个线段各自张拓出来的正方形之和,再加上由这两个线段所形成的长方形之两倍。
虽然这段文字翻译成了上述英文,但它的意义还是让人搞不清楚。square on the whole, squares on the segments 和rectangle contained by the segments 都需要解释。不过,请相信它们的意义在更详细的剖析之后,我们就会了解了。
将该直线的两个端点设为A 和B ,随机的切割点设为C 。在这里,我们采用以字母——比如说A 和B ——来标记线段的惯例,将该直线标记为AB 。另外,以字母标记四个角的长方形,会以四个字母并列表示。作一个边长为AB 的正方形,将四个角如图15-1分别标记为A,B ,E ,D ,然后画一条于C 垂直于AB 的直线CF 。
图15-1 整条直线张拓出来的正方形
现在,我们可以解释square on the whole 是边长为整条(原始)直线AB 的正方形,也就是正方形ABED (参见图15-1)。同理,squares on the segments 代表的是边长为AB上的 线段的正方形。这样的正方形共有两个,分别为HGFD 和CBKG 。我们将rectangle contained by the segments 解读为一个边长为被C 所切割的两个线段的长方形,也就是ACGH 。从图中,我们可以看到ABED 的面积等于HGFD 的面积加上CBKG 的面积加上ACGH 的面积再加上GKEF 的面积。
只要设a =AC,b =CB ,然后用代数的方式来看那最后一句,我们就可以得到:
只要用一些基本算术法则,我们就可以证明这个等式。
不过,韦达在他的代数版本中仍然是使用文字和句子,而不是缩写和符号。尽管熟悉雷科德、邦贝利和西蒙·史蒂文的记法,看起来他似乎还是偏好使用文字。他对于代数的伟大贡献,并不是导入新的运算符号。韦达的著作中几乎没有新的运算符号,而是抽象地使用字母来表现涉及对象的更一般的特性,以及那些字母也可以和数字一样,遵从代数推导和法则的伟大想法。即使在阿尔-花拉子密的时代,人们也知晓方程式中的共同因子是可以消去的。韦达拓展了这个消去的观念,让我们知道如果BE 2+B 2E =B 3,那么,E 2+BE =B 2,然后,如果BE 3+3B 2E 2=3E 4,那么,BE +3B 2=3E 2。换言之,非零的未知数也可以同样用已知数的消去法来消去。
之前为何没这样做呢?第一个答案是,如果多项式几乎全部用字母来表达,会让人非常困惑。我们将二次多项式写成ax 2 +bx +c ,可以立刻判断出哪些是已知数哪些是未知数,这个区别是早期的记法所无法提供的。第二个答案是,在抽象量上的算术运算(加、减、乘、除、开根号),看起来只是些没有什么计算优势的符号姿势(symbolic gesture)而已。写出3×4=12,就是个将三个东西和四个东西聚在一起的轻松运算。但是,写成B multiplicata per C aequalis B multiplicata per C ,到底能有什么优势呢?这就像是给出可能是赘余的同义反复B ×C =BC 一样。
韦达使用元音来代表未知数,辅音来代表已知数。这样做有两个功用:它可以避免混淆已知数和未知数;更重要的是,允许我们使用一个以上的未知数。这样一来,一个方程式里面的未知数就可以区分了。举例来说,方程式3X 2E -U 3=X 2B 里面有两个未知数E 和U ,不过我们会将它写成3a 2 x -y 3 =a 2 b ,其中,a 和b 是已知常数,x 和y 是未知数。
韦达的字母系统还有另一个优点。元音A
用来表示未知数量,连续的乘方则会标为A quad.,A cubus.,A quad.quad.
。就像丘凯的系统一样,其中根数表示及排列为
,
,
,
……韦达的系统显示了一个单一未知数依次排列的乘方之间的关联,正如我们的记法x
, x
2
, x
3
, x
4
……虽然韦达的所有著作中都没有用到新的运算符号,但他所导入的字母系统,对于数学的发展几乎是不可或缺的。
今日,我们可能会认为韦达的字母系统如此显而易见是很便利的记法,但甚至迟至16世纪结束之前,这样的观念仍是革命性的。为此,他有时也会被誉为代数学之父之一。
韦达的元音-辅音记法没有存在很久,但是它激发了符号代数极大的进展。对我们而言,似乎很难想象这样的想法有多聪明。对我们来说,字母代表固定的已知数和变量的未定数,是自然而然的。不过,我们是智识习性的产物。我们学习事物,并且忘记我们曾经有过必须学习以理解它们的一段时间。我们活在21世纪的第二个十年,现在可能发现手机和GPS卫星导航在技术上十分成熟,但在下一个世纪,当这样的现象被更先进的现象所取代,人们回顾并思考我们的进步时,想法就会如同我们现在看待比如说打字机或花园水管的简易现象。浸淫在我们自己常用的符号之中,的确很难想象韦达的想法,何以不曾出现在丢番图到邦贝利,这么多聪明的数学家身上。
我们可能会认为,在帕乔利的
、斐波那契的res
(东西)、丘凯的
和韦达的元音-辅音记法之间,几乎没有概念性的差异。然而,是有差异的。韦达的元音既没有影响文化禁忌,也没有限制既存的何谓数之观念。
与res
这两者都是指它们所说的意思。即使是丘凯的
,也是指它所说的意思。在任何真正的意义上,它们都不是符号,因为它们蕴含着事先形成的概念,代表它们所类似的事物。韦达给了我们某种比单纯的新记法更多的东西。他的A
(我们的x
)是一个真正的符号;它超越了它被假定去代表的对象之具体性(concreteness)。托比亚斯·丹齐克曾经说过:“正是由于这种转换的力量,将代数提升到比便利的速记更高的层次
。”
然而,元音-辅音记法还有另外的优势。当我们将笨拙的字面表达式(literal expression)转换成更便利的等价形式时,我们可在韦达的元音和辅音上执行运算。正是这种转换的优势,丹齐克再一次告诉我们,“将代数提升到比便利的速记更高的层次”。
还有另一项特点:提升代数的元音-辅音记法。想象一下代数将会像什么样子,要是不用一般表达式ax 2 +bx +c ,我们就必须详述系数a,b 和c 具体代表什么数。那意味着比如二次多项式x 2 +2x +3之任意解的问题,将会被视为不同于二次多项式2x 2 +3x +1,即使第一个多项式会快速地提出一个具体的程序来解第二个。每一个表达式将必须按不同的方式来处理,虽然一定会有解题的线索存在。韦达令人赞叹的元音-辅音记法给了我们一种思考与操作集体的、一般的、任意的(the any )、全部的(the all )的问题的方法。有关这一点,丹齐克也将会同意,它“将代数提升到比便利的速记更高的层次”。
更有意义的是它在形成广义的数字概念时所扮演的角色。在韦达之前,代数学家会将x 2 +2x =3,x 2 -2x =2和x 2 -2x +2=0(借用我们的x 代表未知数的记法)视为不同类型的二次方程式。在某种意义上,它们当然是不同的,也就是假定“平方与某物乘以一个未知数等于一个数”这种形式的表达,不同于“平方等于某物乘以一个未知数与一个数”这种形式的表达。这完全不是由于怯于使用符号,而是由于负数和零所引起的麻烦与两难。我们看到上述三个二次方程式同时具备了相同的形式:x 2 +bx +c =0。
上述第一个方程式被x
=1所满足,第二个被……嗯,它看来不像是具有有理根,而第三个也没有。我们现在知道第二个方程式有两个解:
和
。当我们试着求x
2
-2x
+2=0的解,最后得到的解之符号表示就像
和
。
最后这两个解在韦达的时代没有意义。不过,当方程式以一般项的形式,并以记法来表示成如x 2 +bx +c =0时,我们发现其解恒为:
这个一般解需要分类区别。
1.满足b 2 -4c 为完全平方之条件的那些可能解(solution candidate):完全可接受的解。
2.满足b 2 -4c 非完全平方但b 2 >4c 之条件的那些可能解:可疑的解。尚未被接受为有效,尽管处于被接受的边缘。
3.满足b 2 <4c 之条件的那些可能解:完全没有意义的解,复数 ,其作为数的资格被否决。
德·摩根对这个问题的看法如下:
[韦达]归结道:减是一种缺陷,表达式里应该尽可能回避它。他的用词是vitium negationis(有缺陷的否定)。拒绝所有可能带来麻烦的事物,没有比这更舒服更省心的了。接下来,第二步……在于将代数结果视为必然为真,并且视为表现某种关系或其他,无论它们如何与导出它们的假设不兼容。一个特别的结果没有作为一个量的存在性一经证明,按照定义,就会被允许有另类的东西存在。针对这一点,我们没有进行特别的研究,因为那些法则——在其下可发现新符号将会给出真的结果——与那些先前应用到旧问题的法则,并无不同。……当抽象的负量之诠释显示,至少是困难的一部分允许有理数解,其余部分,亦即负量的平方根那些,被接受了,且其结果带着递增的信心,也被允许了。
从现代史学家的观点来看,德·摩根说得并没有那么正确。在韦达的时代之前很久,这些奇怪的类别就已为人所知了。毕达哥拉斯学派思考正方形和直角三角形时,已经遭遇了无理数,而卡丹诺在1545年的著作《大术》中对复数已略有考虑。然而,韦达的记法使这些“真实的”与“虚构的”根更明显了,因为这种一般性的记法揭露了一个重要事实:它们作为真实问题的居间解(intermediate solution),是有意义的——也就是,不管怎么说,这些代数解给出了正确答案,即使它们涉及没有意义的(解题)步骤。
它们在16世纪可能是没有意义的解,但在17世纪因为有了更一般性的记法,相较于从前,这种无意义引起了更多注意。因此引出了下面这个问题:何谓数?这是个基本问题,但这也是一个深刻的问题。它太深刻了,以至于需要它的时候才会被提出来。现在,我们有关数的更为成熟的概念,已经接纳负数的平方根成为家族的一分子。这种充实给了我们一个代数基本定理 ,即任意n 次(n ≥1)多项式恒有n 个可能同类或不同类的根。当然,那些根可能(且多半)是复数。然而,为什么说这个定理是基本定理呢?至少有两个原因:(1)因为它告诉我们每个多项式刚好是一次多项式之乘积,这种一次多项式的形式为(x -r ),其中r 为根;(2)因为它向我们保证:引出多项式的每个问题都有一个答案。
韦达更一般性的记法引起我们对另一个问题的注意:何谓形式(form)?方程式ax +by +c =0几乎都是字母,字母a,b ,c 代表已知数,而字母x 和y 则取未知数的全部值。我们视a,b ,c 为数值之表征,而不管它们具体是什么。因此,整个方程式首先且最要紧的是被视为x 与y 之间的关系式。不过,一旦这种关系式被建立起来,记法的这种奇妙的理解,允许我们进一步经由变化a,b ,c 的值(a ,b ,c 是所谓的参数),来检视ax +by +c =0的形式,从而建立x 与y 之间的关系式家族(family)。一个方程式的形式因而成为一个新的研究对象,它引出了一类方程式,这在我们缺乏符号区别常数与变量这两组数值时,是不可能想象得到的。
韦达将其《引论》一书的最后四个词写成大写作结,并止笔于最后的句点。他写道:
Denique fastuosum problema problematum ars Analytice, … jure fibi adrogat, Quod est, NULLUM NON PROBLEMA SOLVERE.
译文:最后,这个解析技术……正当地将问题中最最得意的问题据为己有,也就是,没有留下未解的问题(TO LEAVE NO PROBLEM UNSOLVED)。
[1] 原文未提及正方形之边长,兹订正之。——译者注
第16章 思维方式的抽象化
韦达去世刚好三十四年之后,笛卡儿出版《几何学》。该书提出有关记法的一种新想法,亦即一个法则:字母表前面的字母保留给固定的已知量,后面的字母(p 之后)则用以代表可以取一系列数值的变量或未知量。笛卡儿似乎遵循了哈里奥特使用小写字母的方式,虽然他不承认曾经看过哈里奥特的著作。时至今日,字母表的这种以p 为界的习惯,依然是宽松的标准法则。
德国哲学家丹尼尔·利普斯托皮斯(Daniel Lipstropius)是笛卡儿同时代的人且是其传记作者,他告诉我们:笛卡儿注视一只苍蝇沿着弯曲的路径爬行时,突然灵光一闪,得到他最卓越的想法。当然,这是一则传说,隐喻笛卡儿坐标系统源自他运用路径到墙壁的距离,来描述这一条路径,也隐喻一只苍蝇激发了数学上最激进的变革之一:代数与几何早期的合并。它是一则传说,因为笛卡儿坐标系统看起来一点都不像我们现代所用的那个样子,有水平轴与垂直轴来标示相关的变量。这个故事后来变得更离谱,说笛卡儿由于健康欠佳,每天早上都躺在床上,沉思所有的科学如何可以建造得像数学一样确定。
如果苍蝇在空间中沿着一条弯曲路径前进,它也将留下一条有算术数据(arithmetical data)的轨迹,而笛卡儿会理解这条曲线的几何可以由这些算术数据来重建;反之,这些算术数据也可以由曲线的几何来重建。几何与算术只是相同数学的不同诠释:代数与几何彼此亲密回响。美妙极了!
笛卡儿的确有早上赖到很晚起床而思考周遭环境及其个人存在的习惯。童年时期,他被允许赖在床上舒缓他无法控制的咳嗽,而到了下午,他的喉咙就好多了。对任何患有后鼻腔逆流的人,这是个不好的建议,因为早点起床症状才会纾解。然而,笛卡儿也许是借此思考物理世界,它是如何在本质上是机械性的,自然界的每一事物如何可以由力学定律来说明,所有的理论物理如何可以运用少数几个通则和自然界的可观察事实来表示,以及一小部分的原理和基本方程式如何可以运用代数方程式来表示。
那个神奇的勾股定理告诉我们:在直角三角形三边上的正方形存在一种结构性的关系。那个定理告诉我们一个求得空间中任意两点距离的简易方法,是怎么回事?我们有办法运用方程式和比例式,表示直线与圆锥曲线(椭圆、抛物线和双曲线,这些曲线都是以一个平面切割圆锥面而形成的),又是怎么回事?
几何与代数的亲密关系从柏拉图时代以来就已经备受怀疑,在那个时代,柏拉图学院的数学家探讨三等分角、倍立方体,以及化圆为方等标尺作图题。公元前3世纪,阿波罗尼斯研究由平面切割圆锥面所形成的曲线——椭圆、抛物线和双曲线。1世纪时,希罗想出一种代数方法,来计算曲面面积和立体体积。与丢番图同时代的几何学家帕普斯(Pappus)指出,几何与代数应该有某种关联。4世纪时,梅内克缪斯(Menaechmus)发现圆锥曲线与方程式的关系,还有,早期的希腊地理学家已经在自由地使用坐标系统。1361年,尼古拉·奥雷姆(Nicole Oresme)运用经纬线系统,引出坐标系的雏形,最后他利用水平线代表时间、垂直线代表速度。
几何学源自处理线、图形和立体的兴趣,这些对象是可以在头脑中想象的。代数则源自涉及数的问题——这些数是被数学中重要人物的几何概念所决定的。到了中世纪晚期,代数的发展集中到数的更抽象观念上,特别是韦达将记法推进到包括常量和未知量,这种记法将代数从几何隐喻的限制中解放出来。这可以朝向更一般的目的跃进,专注于抽象的几何量。
我们看到加、减、乘、除,以及开平方的代数运算,都呼应了几何学中的运算。不过,那些运算实际上真的可以操作吗?韦达知道两个数a 和b 的乘积,是等同于求作(标尺作图)一个邻边为a 和b 的长方形;而求a 的平方根则等同于求作一个正方形,使其面积为a 。然而,这实际是怎么做到的?
笛卡儿在他的《几何学》第2页中,教我们怎么做。首先,考虑乘法:假定我们有两条线段,以AB 与AC 表示。以任意方式或位置安排它们,但要把它们与端点A 连接(参见图16-1)。
图16-1 乘法
在AB 上,截出一个单位长的线段,并表示为AE 。如果AB 短于单位长,你可以延长AB 。连接E 与C ,并作线段BD 平行于EC 。由相似三角形,我们看到AD 比AB 相当于AC 比1,因此,AD =AB ×AC 。
针对除法,利用相同的设置;注意商AD /AB 必须等于AC 。要求AB 的平方根,则延长AB 一个单位到C 点(参见图16-2)。
图16-2 开平方
中分直线AC
于O
点。以O
点为中心,作一个直径为AC
的圆。过B
点画AC
的垂线,交此圆于D
点,则
。
所有这些运算都可以运用直尺和圆规来作图,因此,都可从欧氏公理来证明。而任意问题若可由标尺作图来表示,则也可运用一次或二次多项方程式来表示。
笛卡儿坐标系统不只是一个赋向的系统(orienting system),不只是从这儿到那儿的一条路径。它是一种通过代数透镜来看几何的方法。笛卡儿(费马也是)给了我们某种不可思议的奇特的东西。他向我们显示:思维本身有优选样式(optional mode)。他教导我们:为了将问题概念化,我们拥有优选样式。运用标尺作图方法,我们可能希望求解任意角是否可以三等分的问题,几何学的一个古老问题。这个问题可以自然地按几何方式,以文字如“线”和“角”来表达。然而,有时候我们会被我们认为自然的东西愚弄,被概念化的不必要扭曲所局限。
笛卡儿给了我们一种方法,以便在概念化的样式之间转换,将几何问题译解成为一个代数坐标系统。希腊几何学家的点、线和曲线,现在可以自由地运用抽象的代数表达式来表示,从而从我们有关空间的物理印象的束缚中释放出来,协助想象力在远远超出我们居住的可触摸世界之外驰骋,并进入一般性的非凡世界。
三等分任意角的问题,变成一个特殊的三次方程式是否具有一个有理根的问题。笛卡儿无法得知此一答案,不过,我们知道:问题中的根并不存在。
为了考察笛卡儿系统如何给予我们几何与代数的关联,我们要简短地提醒自己在中学数学课程中学到或漏掉的东西。请牢记:笛卡儿(以及费马)所发明的坐标系统,并不那么像我们今日所用的系统。事实上,它并不是最早的关于坐标系统的想法——14世纪的传教士奥雷姆有一个类似的想法。不过,笛卡儿的想法是今日更进步的概念(较晚引进)的一个启动器。一开始,我们观察带有一个随意挑选的固定标记的平面上的世界,就好比你可以选定一座高高的建筑,指引我们穿过一座陌生的城市。我们称此标记为(0, 0),这个符号的设计想法到了下文就会显得明了(参见图16-3)。这个平面,就像计算机屏幕一样,有水平与垂直的数线通过(0, 0),它们的距离在箭头方向上为正,而在反方向则为负。
图16-3 点的“地址”
在这个平面上任取一点。暂时称它为P ,那么,相对于标记点(0, 0)来说,P 点位于何处?对P 点位置的一个自然的描述(尽管还有其他的)是:相对于水平与垂直方向的箭头(使用任何你喜欢的单位),P 点离(0,0)有多远(正或负)。举例来说,(9,7)是在右上角的黑点的“地址”,而(−10,4)则是在圆的左边的黑点的“地址”。
为了利用这个精妙的系统来表示中心在(0,0)且半径为7的圆,我们需要做的,无非是将圆上任意点(x ,y )描述为过(0,0)的线段之端点,这个线段其实只是圆的半径,因此,在几何量上永远等于7个单位。对于这个底边为x 、高为y 的三角形,利用勾股定理,我们知道x 2 +y 2 =7 2 。满足方程式x 2 +y 2 =7 2 的每一对数值x 和y ,都将对那个半径为7的圆上的点,给出一个坐标地址。反过来说,该圆上的任意点将有一个坐标地址(x ,y ),其中x 和y 满足方程式x 2 +y 2 =7 2 。我们用这个圆为例,只是想说明这种关联是如何出奇的简单。
看起来笛卡儿有信心使用他的解析几何的方程式,去解决几何问题。他解决这些问题,但总是想运用几何来确认他的代数证明。牛顿和莱布尼兹在他们的微积分中,也做了同样的事情。也许可以简单地说,他们都是全局型的数学家,总是希望看到全部头绪。
令人惊奇的是(除了使用小写字母的惯例),在使用字母表前面的字母来表示固定的已知量,用后面的字母来表示未知量之外,笛卡儿发明的新符号非常少。他改进了邦贝利和史蒂文表示未知量的指数的方法,使用上标来表示未知量的指数。哦——对了,还有就是——有一个与群组线(vinculum)有关的事。所谓群组线,是指与古老的德国平方根符号√相连的那条水平线,表示在这条线下的所有项都要放在一起作为一个整体开方。这就是我们现代的平方根符号
。我们已经看到它是多么重要的一个进展。
笛卡儿在《几何学》中写道:
译文:而 aa ,或 a 2 ,是将 a 自乘;而 a 3 ,是再次乘 a ,等等,一直进行下去;而表示求 a 2 + b 2 的平方根;而
表示求 a 3 - b 3 + abb 的立方根,等等。
在此,我们有德国根号√与群组线的结合,用以涵盖一个求根的式子。我们现有的立方根符号
还要再过三十年才会出现,它在几个地方同时现身:在米歇尔·罗尔(Michel Rolle)的《代数论著》(Traité d’Algèbre
)中,以及莱布尼兹写给皮埃尔·伐里农(Pierre Varignon)的一封信中。
接着,我们在笛卡儿的《几何学》第4页中,发现多项式的书写方式与现在的写法颇为类似,除了笛卡儿使用了一个奇怪的符号∝来表示“是等于”。其中像z 的图形不过是z 的一个华丽的书写体。
在第69页,我们首度找到方程式的完美可读的说明,看起来几乎就是出自20世纪教科书的形式。
在上述引文中,笛卡儿写道:如果我们将多项式x -2乘以x -3,其结果将是x 2 -5x +6。如果我们将后者乘以x -4,则得到x 3 -9xx +26x -24,而如果我们继续做下去,将最后这个多项式乘以x +5,则可得x 4 -4x 3 -19xx +106x -120。因此,x 4 -4x 3 -19xx +106x -120=0的根就是2,3,4及−5,从而x 4 -4x 3 -19xx +106x -120=0与(x -2)(x -3)(x -4)(x +5)=0只是同一个方程式的两种不同表示方法。 [1]
在前一章中,我们看到韦达如何引进字母表的辅音字母来推进代数的发展。在字母被用于那一类表示之前,丘凯、邦贝利和史蒂文有关多项式的记法完全够用。一个已知数的平方或立方可以计算而得到另一个已知数;当你只是表示4时,我们根本不需要写成2 2 。在任意多项式中,只有未知量被提成乘幂,而未知量的乘幂(unknown-to-a-power)无法直接计算得知。因此,对16世纪的手稿来说,写3 3 表示3x 2 ,3 1 表示3x ,以及3 0 表示3,其实无伤大雅。丘凯、邦贝利和史蒂文运用这样一个所谓指数计划(index plan)来书写指数,不致有歧义。
然而,还是有个问题。一个多项式可能会有多于一个未知数,比如说一个x 、一个y, 如此一来,3x 2 +5y 2 在指数计划下就写不出来。我们偏爱笛卡儿的记法,主要是因为它是我们自己的记法,但也是因为它比之前出现的有歧义的记法来得讨喜,还因为没有人想出更好的符号……
一个符号可能变成常规而持续使用数世纪,直到某事发生产生窒碍难行的情况,而推动脉络的进展。譬如,16世纪的指数计划就出现了这样的情况。现在,多项式代数记法有一种合用的记法,在下一个千年应该不会改变。帕乔利的
断断续续使用了近两百年之久。鲁道夫的√相较于其他较无价值的平方根表示方法,有一些改进,不过在一百年间没有什么变化,直到笛卡儿加上一条群组线。
在笛卡儿的《几何学》中,我们看到自己使用的平方根符号(参见图16-4上部),在德国平方根符号√上加上了群组线,以便统合将要开方的所有项。某些人必定认为
会一直使用下去,就像我们认为我们的指数记法会一直使用下去一样。
图16-4 笛卡儿《几何学》(1659年)第3页中的群组线
在上述引文中,有一个平方根的嵌套出现。通过它,我们不需要太多想象,便可以预见可以利用一个连续嵌套显示韦达近似
的精彩命题2(参见第15章)。
数学史家弗洛里安·卡裘利告诉我们,是笛卡儿引进了这种新的根号、群组线等等。奇怪的是:是谁最先想到群组线的?凡司顿(Francisci van Schooten)在1648年编纂韦达的《数学全集》(Opera mathematica )时,已在他的批注中使用了群组线。嗯……图16-4引自1659年出版的笛卡儿《几何学》的凡司顿版本。凡司顿有没有可能为了简化笛卡儿的意思,而将群组线夹带了进去?
对我们来说,幸运的是,身为数学家的笛卡儿有着伟大的影响力,而且他能够推动最佳记法的标准化,让它们走向下一个世纪。17世纪充斥着许多实验,当时所运用的各种怪异又累赘的记法,很有可能长期阻碍数学的进步。
对希腊几何学家而言,一条曲线或多或少是一个静态图形(static figure)。笛卡儿开始以不同的方式思考曲线。他的坐标系统被认为是由一个法则(即其方程式)所决定的一组动态位移(dynamically moving)的点之组合,亦即一种带着地址的代数对象,这些地址(亦即点)是由实数x 和y来 表示的。那些实数,也就是“坐标”(coordinate),被一起锁在一个共同有序的(co-ordered)数值关系式中;其中一个无法变化,除非它得到另一个的允许。这种新几何将曲线视为变量之间的关系。这是一种巨大的进步,大大改变了数学的策略和样态,让微积分的问世变得可能,并且永远改变了我们思考运动现象的方式。
17世纪早期一种典型的经验观察,会将抛射体在不同时间的高度显示为一个数值表。当抛射体未被观察的时候,就无从寻求它的高度。有了图形的观念,以及一个建立高度h 与任意时间t 的关联的代数方程式,针对抛射体高度如何随着时间的改变而平滑地改变的现象,我们的直观理解就会出现,那就是,数值如何爬升与下降的一个图像。
几何与代数的统一性是数学史上最伟大的发现之一。一次到位,它让我们对支配一个事件与多个相依事件之间的关系的定律,有了理解。它为后世的数学家提供了有力的工具,让他们得以针对两个相关的现象中,其中一个的变化如何影响了另一个的变化,按数学的方式来描绘与清晰表达。
然而,科学家对于大自然是否完全是机械式的,或完全可以用数学来说明,一直莫衷一是。现在,几何与代数的这种新的结盟指出,宇宙的秘密可以完全用数学的方式来说明。空间与时间联系在一起,不仅通过直觉所领会到的不确定、不可靠的几何图形,而且也运用了代数。
利用函数概念检视空间-时间关系式是自然而然的,但那首先必须等到1692年莱布尼兹引进一个原型概念(proto-concept),然后是约翰·伯努利(Johann Bernoulli)和欧拉做出某些改进,继而等到1834年狄利克雷引进他的版本。
如果你不知道读什么书或者想获得更多免费电子书请加小编微-信:gaiword 小编也和结交一些喜欢读书的朋友 或者关注小编个人微-信公众号名称:互联网分享社区
[1] 此段原文有误,兹按上下文修订其方程式。——译者注
第17章 加减乘除的用法伊始
1660年6月13日,星期天,奥特雷德去世,享年八十八岁。英国博物学家约翰·奥布里(John Aubrey)告诉我们:“他个子矮小,一头黑发,黑色眼珠(炯炯有神)。他的脑袋瓜子一直动个不停。他会在尘土上画线和图形。他已经烧掉所有论文,宣称:‘这世界不值得拥有它们。’他是如此了不起。他甚至烧了多本印刷出版的著作,眼看着它们烧成灰烬,始终不动声色。”如果你端详捷克雕刻师温策尔·霍拉(Wenzel Hollar)为他雕刻的肖像,会发现一个上了年纪的薄唇男人,有一个从眉毛顶端延伸下来的大鼻子(参见图17-1)。
图17-1 奥特雷德
他在1631年完成他的《数学之钥》第一版。后来有许多版问世,且在他死后半个世纪间,该书是广受欢迎的教学用书。在该书中,我们发现圣安得烈十字(St. Andrews cross)“×”首度用作乘的符号。这个符号在中世纪时期即已用来表示无关两数相乘的许多事物。一直到奥特雷德的《数学之钥》问世,乘法才被表示为并列形式,ab 亦即a 乘b 。这没什么不好,只要被乘的本身都是符号。不过,当涉及确定的数时,那就有了歧义。譬如,22是表示二十二,还是2乘2?
并列的用法并非符号;它是一个会引出混淆的记法的概念。1545年,施蒂费尔分别使用字母M 和D 来表示乘与除。1585年,史蒂文也是如此。他们会写3②D sec ①M ter ②来表示:
其中,sec 代表“第二个未知数”,而ter 代表“第三个未知数”。又一次,我们看到M,D ,sec 和ter 都不是真正的符号,只是缩写而已。它们很容易产生概念上的混淆:哪个未知数是第一个?哪个是第二个?或哪个是第三个?由于笛卡儿的贡献,我们现在的记法避开了此一问题,因为字母表内的字母早已按顺序排列了。
韦达书写“A
in B
”来表示A
与B
的乘积。迟至20世纪初,有些作者还在使用M
来表示乘。甚至今日,还是有一些歧义与(乘法的)“并列”有关:我们写
来表示
。或许这就是如此多年轻学生在计算带分数时,会犯那么多错的原因吧。
在奥特雷德引进的一百多个具有前瞻性的符号和卷标中,只有不到十二个还在使用。不过,任何人能设计出六个足以成为标准的符号,存留三个世纪以上,都是值得喝彩的。
到了17世纪,大部分以文字表述的数学文献都转换成符号形式。各式各样的新记法引进,有些方便使用,有些则否,有些不实用,有些则是够蠢了。然而,前进的脚步并未停歇。埃里冈在他出版于1634年的著作《数学教程》序言中写道:“我已经发明了一种进行演示的新方法,简短、容易理解,不需要使用任何语言。”他的意思是,他已经引进了一套完备的数学记法系统。不过,他的完备系统中的符号,到今天还在使用的,只有有关几何的部分:⊥(“垂直于”)和∠(“角”)。
阿尔弗雷德·诺斯·怀特海(Alfred North Whitehead)曾经写道:“有一个古老的隽语说,将海洋帝国分配给英国人,陆地帝国分配给法国人,天空帝国分配给德国人。诚然由于来自上天的缘故,德国人接来+和-;这些符号已经产生的理念,对于人类福祉至为重要,以致不可能来自海洋或陆地。”
字母p 和m 取代了文字plus (加)和minus (减)。普及历史著作将记号+和-的发明归功于施蒂费尔。但是,也有证据显示施蒂费尔在别处见过那些记号。有人指出,它们最早可能是出现在德国仓库存货单上的粉笔记号,用以表示超过或不足标准重量。
它们出现于1544年施蒂费尔的著作《整数算术》中。它们也出现在威德曼出版于1489年的著作《各种职业中快速且工整的计算》中。但威德曼的+并非加法运算,而是指“超过”(excess),正如“+2是比预期的还多了2”的意思。其后有一段时间,加法运算的表示法出现了竞争。备受喜爱的有缩写的p
或
,直线穿过或置于p
之上,用以区别是运算符号或表示量的符号。塔尔塔利亚宁愿使用希腊字母ϕ来表示加。代表减的符号要回溯到丢番图的时代,当时这个记号看起来像指上或指下的箭头。水平方向放置的拉丁十字
,曾经普遍可见,甚至笛卡儿在他的《几何学》中也偶尔使用铁十字
,尽管那可能只是印刷者所加的,他们在自己的字体柜里寻找所能找到的最接近的符号,以避免造新的字模。到了16世纪末,出现了各种代表减的符号,从÷(我们的除号)到=(是的,我们的等号)到-,以及最终,实验了其他可能的形式之后,到
。最后这个
是埃里冈在他的1634年版《数学教程》中所使用的代表减的符号,这部著作是一本初等数学书,以“几乎不顾一切地引进巨细靡遗的符号”著称。我们今日使用的表示减(法)的水平直线是最简单的一个,但它却导致某种混淆,因为它也在句子中被用作破折号。18世纪之前,这个代表减的符号尚未标准化。17世纪的手稿中,经常在同一页中出现好几种形式的减号。
乘法在奥特雷德于1631年引进符号×之后多年间,并没有固定的符号。哈里奥特使用一个点,笛卡儿则以并列来表示。我们目前仍使用这三种记法。然而,是谁——著作者或印刷商——该负责?我们并不清楚。后来,奥特雷德使用冒号“:”表示除法。分数的阿拉伯符号使用一条线段来分开两个量,其形式在a
-b,a
/b
与
之间变化。我们现在的符号a
÷b
是奥特雷德的冒号与用于分数的阿拉伯线段符号的组合。甚至如莱布尼兹,他日后会创造一些最有意义的数学记法,却使用标记︶代表乘,标记⌒代表除。我很惊讶它们为什么没有风行起来。它们的设计显得创意十足,因为它们的反射对偶性显示“除”只是“乘”的逆运算。当然,手写是个问题,其中一个会与另一个混淆。
我们现代的无限大符号∞,是古罗马人有时用以表示数字1000的记号,因此是一个很大的数字(参见图4-7和图4-8)。到了16世纪末,这个记号被愚蠢地拿去与雷科德的水平线及克胥兰德的垂直线竞争,看看哪个是代表相等的最佳符号。那个可怜的符号∞被随意摆布,一下子代表这,一下子代表那,一直到1655年,沃利斯在他的《无限算术》中才用它来表示无限大。不过,它还是没有风行,直到1713年,詹姆斯·伯努利(James Bernoulli)在他的《猜度术》(Ars Conjectandi )中使用了这个符号。
到那个时候,埃里冈完成六卷著作并在1642年出版,书中的代数以大量的符号来表现。并非每一个人都喜欢这种书写数学的新形式。几部几何著作以几乎不用文字说明的方式印行时,事情看来是走得太过头了。埃里冈宣布他的新方法之后不久,哲学家托马斯·霍布斯在1648年抱怨几何学这种从文字转换到符号的证明方法:
符号是丑陋的,尽管它们是论证的必要支架……尽管它们书写起来比较简短,然而,比起以文字书写,它们并没有让读者更快理解。对于线和图形的概念而言……必须运用口说或思维的文字来进行论证。所以花了双重的脑力劳动,一是简化你的符号成为文字,这种文字也是符号,一是理解它们的意涵。除此之外,你只要考虑没有任何古人在他们出版的几何证明,或者算术书籍中,曾经使用任何符号……我想,将来你就不会如此热衷于它们了。
而德·摩根在1837年写道:
一旦学到符号及其组合法则而不须赋予意义的想法习以为常之后,学生会拥有我将称之为“符号计算”(symbolic calculus)的概念,这种带有某些符号及某些组合法则的东西,就是“符号代数”:一种技术(art)而非科学(science),而且显然是一种无用的技术,除非它将来成为一种科学的语法(grammar)。精通符号计算自然需要意义的赋予。
第18章 趋于标准的符号系统
看似平淡无奇的记法改变,可能暗示着观点上发生激进的转变。任何新记法都可以问出崭新的问题。
——巴瑞·马祖尔
莱布尼兹是一个“中等身材,体形修长,一头棕发,眼睛小却深沉而目光敏锐”的人,一位创造符号的天才。他警觉到使用适当符号的优点,运用符号、改造符号,而当他隐然发现某种设计不佳的符号有一天可能让数学解说不必要地变得复杂时,则会抛弃那些符号。他研读了邦贝利和韦达的著作,并预见到多项式的符号在17世纪初代数一般化后将不敷使用。他了解,使用起来不方便的符号如何在15世纪和16世纪让代数的发展陷入困境。
到了17世纪后半叶,数学手稿充斥着符号,这主要归功于莱布尼兹,以及奥特雷德、埃里冈、笛卡儿和牛顿。教科书作者和一些鲜为人知的数学家,设计出数以百计的新符号。在那个时代,创造符号风行一时,但对于预料之外的混乱缺乏了解,迟早会使富有创造性的想法陷于绝境。
如同我们所见,笛卡儿借用了极多符号,并调整改进它们。奥特雷德未多加考虑一些符号的价值,即引进了数百个可能有用的符号。即便有些符号明显有问题,奥特雷德仍为了保持稳定的一致性而继续使用它们。埃里冈也是如此。
而莱布尼兹想让他书写的内容更清晰明确时,会优先使用符号。他相信卓越的记法是理解所有人类思维本质的关键。“真正的方法,”他写道,“应该有一条阿里阿德涅的线(Ariadne’s thread)带领我们前进,也就是说,有一种切合实际又极其明了的工具,它会引导思维,就像几何学中所画的线和为学习算术者制定的运算公式的功用。”
在希腊神话中,阿里阿德涅是克里特国王米诺斯的漂亮女儿,忒修斯是从雅典送来献祭给迷宫中的米诺陶(半人半牛的牛头怪)的青年。阿里阿德涅爱上了忒修斯,给了他一个线球(clew),让他在进入洞穴时把线球松开。一旦杀死了米诺陶,就可以循着这条线走出洞穴。忒修斯成功杀死米诺陶并离开洞穴后,带着阿里阿德涅前往纳克索斯岛,并将她抛弃在那个岛上。
clew 这个词原意是“线球”(至今仍是),后来演变成我们现在所用的词clue (线索)。显而易见,莱布尼兹用“阿里阿德涅的线”这个象征来传达一种想法,也就是数学和其正确推理的力量的线索,存在于其记法的特性当中。莱布尼兹的微积分记法如此完美地符合这门学科的基本逻辑运算和程序,一般学生能够循着这条线穿过推理的迷宫并找到出口,确信自己理解了内容而受到激励。
莱布尼兹了解符号,它们在概念上的力量及它们的限制。他会耗时数年进行实验——创造、否决、调整了许多符号,并用符号来与自己认识的每一个人交流,还请教了当时多位一流的数学家,那些数学家对莱布尼兹的一丝不苟非常有共鸣。莱布尼兹没有轻易使用雷科德的等号,而大半偏好用一个看起来像订书钉的符号“
”来代表等于。我想是因为这个符号暗示它是连接两边的桥。
依照惯例,我们现在说“y
是x
的函数”,并用y
=f
(x
)的记法来表示:对于每一个x
值,f
都能将之对应到一个特定y
值。1692年,莱布尼兹撰述关于曲线切线的内容时,提到了一种更严格限定的观念。对他来说,函数只是代数与分析学的运算中所造出的一种表达式——例如,
具有函数的资格,因为它是由加、乘、指数和开根号等代数运算建立起来的。1837年之前,函数的概念历经多次修正,直到狄利克雷为函数所下的卓越定义在那一年确定下来,而那也是我们今日在数学中使用的函数定义:“若每一个x
值,都有唯一一个与之对应的y
值,则y
是x
的函数。”狄利克雷的定义放开了函数在求对应值时的所有限制。笛卡儿不用前述那样自由的定义;他必须将方程式对应至曲线,才能比较容易地探究一个变量如何随着另一个变量移动,就像空间中的点随着时间移动一样。
在莱布尼兹发明的两百多个新符号中,包括他的微积分的积分与微分的符号。学过微积分的人都见过符号
,也就是“y
对x
的导数”(参见附录A)。
为什么
是如此优良的符号?若不质疑符号操作的不合理性,
可能被看成是一个分数;我们可以在一个方程式比如
的两边乘上dx
,得到dy
=xdx
。多么方便啊!结果证明,那些奇怪的小变量dx
和dy
,综合来看的确遵循了代数法则。
莱布尼兹的微分符号dx,dy
和积分符号∫
,比其他研究微积分的数学家所用的任何符号都好得多。相较于使用牛顿或费马留下来的符号,莱布尼兹的符号让有关微积分的工作变得容易得多。排字工人反对像
这样三层的符号,这种符号会打乱页面上的行距。我们差点被莱布尼兹的另一个符号
缠上,这个符号看起来像d
的上部断开往左移,或者把那个断开的部分想成上标1。我想这样可笑的符号会成为排版者的梦魇。幸好这个符号已不再使用。
这样的排版考虑对符号设计影响很大。莱布尼兹遵循使用群组线的惯例,把会被共同运算的项集中在一起;群组线延长盖住那些被集中一起操作的项。但它也造成了排字工人的困扰,所以莱布尼兹发明了另一种不会让页面行距变宽的方法。于是,为了满足排版者,并且让版面看起来更赏心悦目,他借鉴了使用一对括号的想法,来表示哪些项要被集中在一起。
莱布尼兹非常确信符号改良很成功,夸耀道:
我认为,当这项工作完成后,它会是人类心智的最终成果,而众人皆将欢喜,因为他们将拥有一项得以颂扬智识的工具,如同望远镜让洞察更臻完美。
第19章 站在巨人肩膀上的侏儒
牛顿是一个“外表和举止都非常没有活力,那些不认识他的人不会对他有多大指望”的人,对于那些他站立在其肩膀上的巨人,他给了比喻性的赞美。牛顿广为人知的名言:“如果说我看得比别人更远,那是因为我站在巨人的肩膀上。”这句话可回溯至12世纪新柏拉图学派的法国哲学家伯纳德(Bernard of Chartres),他将自己那个时代比喻为“站在巨人肩膀上的侏儒”。伯纳德指出,我们比前人看得更多更远,不是因为我们有更敏锐的洞察力或站得更高,而是因为“我们被抬至高处,站在巨人高大的身量之上”。
20世纪的数学家及研究牛顿的史学家赫尔伯特·特恩布尔(Herbert Turnbull)说了一段少年牛顿的故事,有趣又富想象力:
大约在克伦威尔去世之时,格兰瑟姆(Grantham)附近的乡村正经历狂风暴雨,一个男孩以奇妙的方式寻找乐趣。他转身背着风,跳了一下,当然他跳得很远。接下来他又转身面向风,再次跳了一下,这一次不像第一次那么远。他仔细测量这些距离,用这样的方式来弄清楚风力大小。这个男孩是牛顿,而他后来测量了一种力,一种让行星在其轨道上运行的力,如果这种力真的是这么回事的话。
到了那个时代,望远镜已臻完备,探险足迹遍及世界各大洋,然而,女巫仍然会被吊死或烧死,叛国贼和罪犯在公共广场上被斩首是家常便饭——他们的头经半熟防腐处理后挂在沿街的柱子上。另外,即使最聪颖的科学家,在面对崭新的化学科学时,也成了炼金术的狂热拥趸。连牛顿都坚定地投入炼金术实验。
17世纪和18世纪的数学家从坚持数学的严密性的古典希腊传统中适度解放,在他们关于无穷大和无穷小的直觉和猜测中获得力量。有了无限,数学家必须发展出新的法则和新的记法。过去定义模糊,方法不明确,而逻辑论证对不完整的逻辑链妥协。丹齐克写道:“直觉已经被希腊人苛刻的严密性禁锢太久了。现在它无拘无束,而且没有欧几里得们抑制它的幻想驰骋。”
无穷大和无穷小量的工具,连同对连续统的直观理解,都被创造出来并获得接受。虚数成为数学名词。代数和其符号的巧妙使用,让数学准备好迎接微积分革命。物理被提升成为一门科学。而牛顿已经——引用爱因斯坦的话——“完成了任何个人能够成就的最伟大的思想跃进”。
多亏了英国数学史家德里克·托马斯·韦赛德和他的辛苦编辑,我们拥有几乎牛顿所有的论文。1958年,汤姆(朋友对韦赛德的称呼)首次研读牛顿的论文,当时这些论文一团乱。身为剑桥的研究生,他的论文是研究17世纪的数学史,他开始意识到现存的多数数学史可疑又没有条理。据说他问了剑桥一位图书馆管理员,有没有牛顿的手稿可借阅,然后很快借到了八箱。汤姆花了二十三年完成八大册牛顿手稿的编辑工作。
我不时会借阅第七册,似乎有只老鼠与我共享那本书,它在装帧上发现了某种不知道是啥的美味东西。我一次只读一页,光是这第七册就满载足够我用尽一生去思索的信息。
牛顿为沿着曲线流动的量构想出未知的变量。他称它们为fluent ,源自拉丁文fluxus (“流动的”),非常接近我们现在所称的因变量 ,也就是x ,但它们受限于对时间的依赖。
1704年,牛顿首次使用这些变量近四十年后,对它们的描述如下:
我这里所考虑的数学量,并非由最小的可能部分组成,而是由一连续的运动来描述。线的描述,并非由部分的并置(apposition)所产生,而是由连续运动的点来描述;表面积是由线的运动来描述,体积是由表面积的运动来描述,角是由边的旋转来描述,时间是连续的通量,依此类推。这些皆起源发生于真实的物理本质中,并日复一日在物体的运动中得到印证。
这个观念与莱布尼兹的数学量多么不同呀。对莱布尼兹来说,曲线是固定的、静态的,以其方程式来描述,由具有无穷小的边的一个无限多边形组成。另一方面,牛顿认为曲线是动态的,是一个移动粒子的轨迹,在这条曲线上,任意切线都会指向粒子飞出曲线的路径之瞬间方向。他认为曲线就像是“点的流动”,代表了量;但在微积分里,它们相当于莱布尼兹的静态曲线。
随着时间的改变,曲线上的量沿着曲线衍生出一个新的量。流量改变的速度就是“流量的流数”,一个冗长拗口的词,写成单点在上的符号
,
,
——所谓标点字母,数学界很快就接受这些符号成为标准的流数
记法(参见附录B)。令人好奇的是,高次的导数会在变量上方记上多个点,所以
就代表y
这个流量的八次流数,意思是将流量y
取流数之后,再取流数……(共八次);在任何人提出写成像
这样的构想之前,似乎得把以前指数指标的故事再说上一遍。我们现代的莱布尼兹记法将此记为d
8
y
,这种表示法让人满意得多。只要想象一下得写ddddddddy
来表示微分八次,就可以了解了。在莱布尼兹的时代,对这么高次的微分可能没有迫切的需求,但更复杂的项无可避免地终将出现:12ddddddddxdddddydddddz
这种梦魇仍旧会现身。幸运的是,莱布尼兹的记法写成:12d
8
x
·d
5
y
·d
5
z
。
下一个问题是,由于记法的限制,对于流数的理解,需要一种语境来让自变量在概念上的本质意义更清晰明了,这种自变量通常是时间变量t
,但非必然如此。x
的流数被理解为与时间变量相关,所以不过是代表x
的速度罢了,用莱布尼兹的记法,这写成
。用牛顿的记法,则记为
。而以现代的语言来说是:x
对t
的导数。
根据牛顿的观点,微积分的基本任务,还是要用一堆“流”来解释:对于给定的流量,可找到对应的流数,以及当给定流数时,可反过来找到对应的流量。然而,牛顿一生中运用了好几种方法,同时也支持无穷小量的研究。
以y
-x
2
=0为例,我们可以用
来替代x
,以
替代y
(牛顿求x
n
的流数的步骤参见附录B)。o
是字母“o”,指一个非常非常小的量,但不是零。事实上,o
代表牛顿所称的无穷小量,不管它原来指的是什么。在此条件下,前述方程式变成
并等价于
因为y
-x
2
=0,上式变成
。
[1]
牛顿认为o
很小,但不是0,因此除以o
完全可行。除以o
后,上一个式子变成
。然后牛顿会论证一个值得商榷的问题:因为o
表示一个无穷小量,乘上o
的项与那些没有乘上o
的项相比,差异微不足道。因此,牛顿拿掉
这一项,所以上述最后一个式子变成
。当o
不是零时,除以o
没有问题,完全可行。然而,当讨论到o
不是零而是无穷小时(不管无穷小是什么意思),就为哲学家及爱尔兰科克郡克洛因(Cloyne)圣公会主教乔治·柏克莱(George Berkeley)留下了一些悬而未决的重要问题:
的确,必须承认,他使用流数,就像建筑物的脚手架一样,一旦有限的线段被认为与它们成比例时,流数就被弃置一旁或丢掉。但接着,这些有限指数借流数之助被求得。……而这些同样转瞬即逝的增量究竟是什么呢?它们既不是有限量,也不是无穷小的量,但又不是零。我们能不能称它们为消失量的幽灵(the Ghosts of departed Quantities)?
牛顿希望这个称为无穷小的东西有双重用途,而莱布尼兹对这个问题的看法与牛顿相同:它不是0,可以拿来当除数,但某种程度上又像0一样可以忽略——“消失量的幽灵”。
根据柏克莱的看法,牛顿的微积分未能符合连续性的直观概念。仅从柏克莱的论文副标题便可看出他的观点:或一篇致一位不信神数学家的论文。其中审查一下现代分析学[指微积分]的对象、原则及论断是不是比宗教的神秘、信仰的要点有更清晰的表达,或更明显的推理。
真正的争论在于,当分母和分子都趋近于零时,牛顿有关比的极限的含混意义的证明问题,那是一种忽略微妙差异之处及无限和连续性的棘手问题的精巧观念。牛顿没有把那些比当成真正的比,而是作为极限,如同我们今日的看法。对柏克莱来说,牛顿似乎用零去除零,是毫无意义的愚蠢行为。
这位主教的抱怨是可以理解的,对于欧拉、费马、牛顿和莱布尼兹这些有着良好直觉的数学家来说,直觉是好的。危险之处在于,一些狡诈无序的想法可能伪装成一项已经定明的定理的合理产物,偷偷溜进微积分的大门。到了18世纪末,微积分和坐标几何的实际应用与日俱增,改善了现实世界的人类生活和知识发展,不理会那些从推理大门偷溜进来的矛盾事物。微积分的发明促进了建筑、天文学、火炮技术、木匠技术、地图学、天体力学、化学、土木工程、时钟设计、流体动力学、流体静力学、磁力学、材料科学、音乐、航海学、光学、气体力学、造船和热力学的发展——而这绝对称不上是详尽的清单。
到了1727年牛顿去世时,单片眼镜和报纸很容易买到且价格负担得起。政治剧变笼罩欧洲;欧洲中部的小公国于战争中合并,成为新王国,同时波兰和奥斯曼帝国被邻国瓜分了大片领土。城市人口仍然不多——伦敦不到六十万,巴黎不到七十万——还有狼群在城市外面随意漫游。明亮的咖啡馆和奢华的周遭环境,在欧洲各大城市和大学城里随处可见,每天下午都有报纸销售,晚上街道明亮,人们可以散步及讨论政治、哲学和最新的科学发现。当时欧洲正在体验一种崭新的生活风格。咖啡馆不仅是闲聊和传递消息的地方,也是学生和教职员谈论书籍、诗歌和剧作,收信或听听最新科学传闻的场所。科学院和科学学会创建起来,有资金出版定期刊物,也有经费发展研究工具和昂贵的测量仪器。
牛顿去世后五十年间,狄德罗完成了共十七大卷的第一部百科全书,吉朋以《罗马帝国衰亡史》震惊了世界,卢梭写出《社会契约论》,瓦特建造了蒸汽机,莫扎特谱出小夜曲和交响曲,巴哈去世,而贝多芬诞生。
虽然奴隶交易增加,战争也从整个欧洲的国家蔓延到殖民地、贸易和海上霸权,但科学、艺术、文学和各种实用的发明,即将在启蒙时代迅速发展。中产阶级变得见闻广博并开始思考,不仅局限于政治,也包括科学和文学。
全球化信息高速公路已经准备好,可以传播灾难、流行知识和科学发现的消息。人类文化的变动不断急剧复杂化,而且即将带来伟大的发现,但行星的运动,更别说炮弹和箭矢的轨迹,似乎基本上都需要用微积分来确立。这是一个见证科学全力冲破界限的时代,当时教科书作者正寻求新方法来向日益增多的大学生说明数学。
[1] 原文有误,兹订正之。——译者注
第三部分 符号隐藏的力量
好奇的读者可能想知道,
被大量使用的符号背后深藏了什么秘密,
以及符号成为今日我们所见形式的演变过程。
那些特别的瞬间对现在的我们来说似乎显而易见,
但对过去的思想家而言却是巨大的飞跃。