【习题解析】

一、关键概念

   1. 劳动效率是指单位劳动时间的产出水平,反映了社会对生产方法的掌握和熟练程度。当可获得的技术进步改进时,劳动效率会提高;当劳动力的健康、教育或技能改善时,劳动效率也会提高。

   2. 劳动改善型技术进步是指技术进步提高了劳动效率,就像增加了参与生产的劳动力数量一样,所以在生产函数中,劳动力数量乘以一个劳动效率变量,以反映外生技术进步对经济增长的影响。它实际上表明技术进步是通过提高劳动效率而影响经济主张的,它的引进形成了效率工人的概念,从而使得索洛模型能够以单位效率工人的资本和产量来进行稳定状态研究。

   3. 内生增长理论。内生增长理论是产生于20 世纪80 年代中期的一个西方宏观经济理论分支,其核心思想是,经济能够不依赖外力推动,实现持续增长,内生的技术进步是保证经济持续增长的决定因素。增长理论家主要在完全竞争假设下考察长期增长率的决定。内生增长模型又包含两条具体的研究思路:第一条思路是罗默、卢卡斯等人用全经济范围的收益递增、技术外部性解释经济增长,代表性模型有罗默的知识溢出模型、卢卡斯的人力资本模型、巴罗模型等。第二条思路是用资本持续积累解释经济内生增长,代表性模型是琼斯—真野模型、雷贝洛模型等。在完全竞争条件下,内生增长模型存在一定的缺陷:一是完全竞争假设条件过于严格,限制了模型的解释力和适用性。二是完全竞争假设无法较好地描述技术商品的特性,即非竞争性和部分排他性,并使一些内生增长模型在逻辑上不一致。

二、复习题

  1.在索洛模型中,什么决定了稳定状态的人均收入增长率?

  【重要级别】 3【难度级别】 1

  【考查要点】 有技术进步时经济的稳定状态

  【参考答案】 在索洛模型中,只有技术进步才能影响稳态人均收入增长率,资本存量的增长和人口的增长对稳态人均收入增长率没有影响。

  2.在索洛模型的稳定状态,人均产出以什么速率增长?人均资本以什么速率增长?根据美国的经验,两者的相对大小如何?

  【重要级别】 3【难度级别】 2

  【考查要点】 有技术进步时经济的稳定状态

  【参考答案】 在存在技术进步的索洛模型中,经济达到稳定状态时,单位效率工人的资本存量(k * )不变,单位效率工人的产出(y * )也不变。但因为人均资本等于kE ,人均产出等于yE ,所以稳定状态时人均资本和人均产出的增长率都等于E 的增长率,也就是技术进步率g (关于与美国的经验比较,读者可以结合美国的相关数据进行分析)。

  3.为了确定一个经济的资本大于还是小于黄金律稳定状态,你需要什么数据?

  【重要级别】 2【难度级别】 2

  【考查要点】 有技术进步时的黄金律水平

  【参考答案】 需要的数据包括人口增长率、技术进步率、折旧率、资本边际产量。

   在黄金律稳定状态条件下,我们要比较扣除折旧的资本净边际产量(MPK-δ )和总产出增长率(n+g )的大小。GDP的增长率是容易得到的,而评估资本的净边际产量则比较麻烦。但是我们可以依靠得到的数据。比如,相对于GDP的资本存量、资本折旧和资本收入占GDP中的份额。

  4.政策制定者可以怎样影响一国的储蓄率?

  【重要级别】 3【难度级别】 2

  【考查要点】 促进经济增长的政策

  【参考答案】 国民储蓄包括公共储蓄和私人储蓄,因此,政策制定者可以通过两种途径来影响储蓄:提高公共储蓄和刺激私人储蓄。公共储蓄是政府收入和政府开支的差值。如果开支大于收入,则政府出现预算赤字,就是负储蓄。减小赤字的政策(如减少政府购买或增税)提高了公共储蓄,而扩大赤字的政策减少了储蓄。一些政策会影响私人收入,家庭的储蓄决策可能取决于储蓄的回报率:回报率越高,储蓄越多。个人退休账户的税收豁免和对公司的投资税减免等税收激励的政策提高了回报率,因而鼓励个人储蓄。

  5.过去50年间生产率的增长率发生了什么变动?你可能会如何解释这种现象?

  【重要级别】 3  【难度级别】 2

  【考查要点】 有技术进步时经济的稳定状态

  【参考答案】 在过去50年间,世界范围内生产率的增长速度都变缓了。

  1972年后,全球范围内人均产出增长率在下降,这反映了生产率增长速度在放慢。在生产函数中,生产率是随着时间的不断改善而提出的。虽然提出了各种各样的解释,但生产率速度放慢仍然是一个谜。90年代后,在美国及一些其他国家中,生产率仿佛再次快速增长,一些评论员把这次生产率的复苏归咎于信息技术的影响。

  6.在没有外生技术进步假设的情况下,内生增长理论如何解释长期增长?这种解释与索洛模型有什么不同?

  【重要级别】 3【难度级别】 2

  【考查要点】 超越索洛模型:内生增长理论模型,即Y=AK 模型

  【参考答案】 内生增长理论通过解释决定的研究与开发创造知识的决策来解释技术进步。索洛增长模型只是把技术进步率简单地当做外生变量。在索洛模型中,储蓄率暂时影响经济增长,但是资本的边际产量递减最终使经济处于一种稳定状态,稳态经济的增长只取决于外生变量技术的进步。

  而其他许多内生增长模型实际上以包括知识在内的资本边际产量不变(而不是递减)作为前提假设。因此就有这样的结论:储蓄率的增长能使经济持续增长。

三、问题与应用

  1.索洛增长模型描述的一个经济有以下生产函数:8-16

  a.解出稳定状态的y 值,把它表示成sngδ 的函数。

  b.一个发达国家的储蓄率为28%,人口增长率为每年1%。一个不发达国家的储蓄率为10%,人口增长率为每年4%。在这两个国家中,g= 0. 02, δ= 0. 04。找出每个国家稳定状态的y 值。

  c.不发达国家为了提高本国的收入水平可能采取什么政策?

  【重要级别】 3【难度级别】 3

  【考查要点】 有技术进步时经济的稳定状态

  【参考答案】 a.经济达到稳定状态时,人均资本存量的变动为0:

Δk=sf (k )- (δ+n+g )k= 0

   生产函数8-16 变换为 y 2 =k ,将该式代入上式得:

sy- (δ+n+g )y 2 = 0

   得到稳态的y 值:

y * =s/ (δ+n+g )

   b.根据题中的信息,将发达国家与不发达国家的各经济数据代入问题a中的稳态人均产出计算式。

   发达国家: s= 0. 28,n= 0. 01,g= 0. 02,δ= 0. 04

8-17

   不发达国家: s= 0. 1,n= 0. 04,g= 0. 02,δ= 0. 04

  8-18

   c.因为y * =s/ (δ+n+g ),可以看出,不发达国家通过降低人口增长率(n )和提高储蓄率(s )来提高收入水平。减少人口增长的改革方法包括:引进控制生育的方法和实施养育孩子的抑制措施等;提高储蓄率的改革措施包括:通过减少政府预算赤字来增加公共储蓄;激励私人储蓄的方法有:建立能提高储蓄回报率的个人退休账户和其他税收减免等。

   【翔高点评】 本题可以反映出索洛模型的整个思路,读者只要把握住索洛模型的假设和均衡条件,本题就不难解答。

  2.在美国,GDP中资本的份额大约为30%;产出的平均增长为每年3%左右;折旧率为每年4%左右;资本—产出比率为2.5左右 。假设生产函数是柯布—道格拉斯生产函数,从而产出中资本的份额是不变的,假定美国已经处于稳定状态。(关于柯布—道格拉斯生产函数的讨论,参见第3章。)

  a.在初始稳定状态,储蓄率必须是多少?[提示:使用稳定状态的关系式sy= (δ+n+g )k 。]

  b.在初始稳定状态,资本的边际产量是多少?

  c.假定公共政策提高了储蓄率,从而使经济达到了资本的黄金律水平。在黄金律稳定状态,资本的边际产量将是多少?比较黄金律稳定状态的边际产量和初始稳定状态的边际产量,并解释。

  d.在黄金律稳定状态,资本—产出比率将是多少?(提示:对柯布—道格拉斯生产函数来说,资本—产出比率与资本的边际产量是相关的。)

  e.要达到黄金律稳定状态,储蓄率必须是多少?

  【重要级别】 3【难度级别】 4

  【考查要点】 有技术进步时经济的稳定状态;有技术进步时的黄金律水平

  【参考答案】 因为柯布—道格拉斯人均生产函数的形式为y=k αα 为资本的收入份额,所以本题生产函数为y=k 0 . 3 。稳定状态时,产出增长率为3%,所以n+g= 0. 03,而折旧率δ= 0. 04,资本—产出比率K/Y= 2. 5,因为:

8-19

   所以k/y= 2. 5。

   a. 稳定状态条件有sy= (δ+n+g )k ,则稳定状态下,s 的表达式为:

s= (δ+n+g )(k/y )

   代入数值:

  s= (0. 04+ 0. 03)× 2. 5= 0. 175

   所以初始储蓄率为17. 5%。

   b.柯布—道格拉斯函数中,资本的收入份额α=MPK (K/Y ),即

MPK=α/ (K/Y )

   代入数值,得资本边际产出:

  MPK= 0. 3/ 2. 5= 0. 12

   c.在黄金律稳态时有:

MPK=δ+n+g

   代入数值,得:

  MPK= 0. 04+ 0. 03= 0. 07

   在黄金律的稳定状态时,资本的边际产量为7%,而在初始状态时为12%,因此,从初始稳态向黄金律稳态过渡时要提交k 的值。

   d.柯布—道格拉斯生产函数中,MPK=α/ (K/Y ),资本—产出比为(K/Y )=α/MPK ,用该式可得到黄金律资本—产出比。如果α= 0. 3,MPK= 0. 07,则

  K/Y= 0. 3/ 0. 07= 4. 29

   在黄金律稳态时,资本—产出比为4. 29,而在当前稳态,资本—产出比为2. 5。

   e.在稳态时,由a中可知:

s= (δ+n+g )(k/y )

  K/Y= 4. 29代入函数:

  s= (0. 04+ 0. 03)× 4. 29= 0. 30

   即要到达黄金律的稳态,储蓄率必须从17. 5%上升到30%。

   【翔高点评】 读者需要将题干中的条件转化为索洛模型中需要的一些变量,如本题中的“资本在GDP中的份额为30%左右;产出的平均增长为每年3%左右;折旧率为每年4%左右;资本—产出比率为2.5%左右”,不仅可以顺向思维,还可以逆向思维,从而得到已知条件。

  3.证明下列关于人口增长与技术进步的索洛模型的稳定状态的每一条表述。

  a.资本—产出比率是不变的。

  b.资本和劳动各自赚取了一个经济的不变份额的收入。[提示:回忆定义MPK= [f (k+ 1)-f (k )。]

  c.资本总收入和劳动总收入都按人口增长率加技术进步率(n+g )的速率增长。

  d.资本的实际租赁价格是不变的,实际工资以技术进步率(g )增长。(提示:资本的实际租赁价格等于资本总收入除以资本存量,实际工资等于劳动总收入除以劳动力。)

  【重要级别】 3【难度级别】 3

  【考查要点】 有技术进步时经济的稳定状态

  【参考答案】 a.在稳定状态下,sy= (δ+n+g )k ,即k/y=s/ (δ+n+g )。

   因为sδng 都是固定的,所以k/y 也是固定的,在稳定状态下,资本—产出比不变。

   b.资本收入份额是MPK=K/Y ,劳动的收入份额 = 1- 资本的收入份额。稳定状态时,由a可知,资本—产出比K/Y 是固定的。MPKk 的函数,而k 在稳态时是不变的,MPK 也不会变化,所以资本收入份额就是不变的。由于生产函数为规模报酬不变的,收入在资本和劳动中完全分配,因此,既然资本收入份额不变,劳动的收入份额也不变。

   c. 在稳定状态,总收入按人口增长率加技术进步率(n+g )增长。b问题中说明了劳动和资本的收入份额是不变的。既然份额不变,而总收入按n+g 的速度增长,那么资本和劳动的收入也按n+g 的比率增长。

   d.资本的实际租赁价格等于资本的边际产量,即R= 资本总收入/ 资本存量=MPK×K/K=MPK

  在稳定状态时,因为效率工人人均资本k 为常数,所以MPK 也是常数。因此,稳态时资本的实际租赁价格不变。

  为了说明实际工资ω 以技术进步率g 的比率增长,先定义

TLI= 劳动总收入

L= 劳动力

   实际工资等于总收入除以劳动力

ω=TLI/LωL=TLI

   改写或变化百分比形式,得

Δω/ω+ ΔL/L= ΔTLI/TLI

   该方程说明了实际工资增长率加劳动力增长率等于劳动总收入的增长率,而劳动力以n 的比率增长,c中总劳动收入以n+g 的比率增长,因此可得实际工资以g 的比率增长。

   【翔高点评】 根据本题,读者可以试着自己推导和证明,并将结论直接记住。

  4.两个国家,Richland和Poorland,由索洛增长模型来描述。它们有相同的柯布—道格拉斯生产函数,F (KL )=AK α L 1 ,但是资本量和劳动量不同。Richland储蓄其收入的32%,Poorland储蓄10%。Richland的人口增长率每年为1%,Poorland的人口增长率为3%。(本问题的数字的选取近似为对富国和穷国的现实性描述。)两国的技术进步率均为2%,折旧率均为每年5%。

  a.人均生产函数f (k )是什么?

  b.解出Richland的稳定状态人均收入与Poorland的稳定状态人均收入的比率。(提示:参数α 在你的答案中将扮演一个角色。)

  c.如果柯布—道格拉斯参数α 为常用值,约1/3,Richland的人均收入与Poorland相比应当高多少?

  d.Richland的人均收入实际上是Poorland人均收入的16倍。你能通过改变参数α 的值来解释这一事实吗?它必须等于什么?你可以想象出任何方式来解释该参数这一取值的适当性吗?你可能用什么其他办法来解释Richland与Poorland之间巨大的收入差距?

  【重要级别】 3【难度级别】 4

  【考查要点】 有技术进步时经济的稳定状态

  【参考答案】 a.令E= 1,则F (KL )=F (KLE )=AK α L 1 ,由于这个生产函数是规模效应不变函数,劳动和资本同时乘以1/ (LE ),则有F (kL )=f (k )=Ak α 为人均生产函数,其中k 表示每个效率工人所拥有的资本。

   b.一个拥有技术进步和人口增长的国家,达到稳定状态的条件为:

sf (k )= (δ+n+g )k

   对于Richland而言,s= 0. 32,n= 0. 01,g= 0. 02,δ= 0. 05,则可求出k 1 = (4A )1 / ( 1 )

   其稳定收入y 1 =f (k 1 )= 4α/ ( 1 ) A 1 / ( 1 )

   对于Poorland而言,s= 0. 1,n= 0. 03,g= 0. 02,δ= 0. 05,则可求出k 2 =A 1 / ( 1 )

   其稳定收入y 2 =f (k 2 )= A 1 / ( 1 ) ,则Richland的稳定状态人均收入与Poorland的稳定状态人均收入的比率为y 1 / y 2 = 4α/ ( 1 )

   c.当α= 1/ 3时,Richland的人均收入与Poorland的人均收入之比为2︰1,则前者是后者的两倍,比后者高一倍。

   d.Richland的人均收入是Poorland的人均收入的16倍,则4α/ ( 1 ) = 16,可推出α= 2/ 3。α 等于2/ 3,意味着在两个国家中资本得到的收入占总收入的2/ 3。

  5.各国之间一个典型个人所获得的教育量差别很大。假定你要比较一个劳动力受教育较多的国家和一个劳动力受教育较少的国家。假设教育只影响劳动效率的水平。再假设这两个国家在其他方面是相同的:它们有相同的储蓄率、相同的折旧率、相同的人口增长率和相同的技术进步率。这两个国家都可以用索洛模型来描述,都处于各自的稳定状态。你预期这两个国家的以下变量会有什么差别?

  a.总收入增长率。

  b.人均收入水平。

  c.资本的实际租赁价格。

  d.实际工资。

  【重要级别】 3【难度级别】 3

  【考查要点】 有技术进步时经济的稳定状态

  【参考答案】 因为教育是影响劳动效率的一个重要因素,可以用E 体现,所以教育水平会影响人均收入增长率。在本题中,国家1有比国家2受教育程度更高的劳动力,所以国家1中的每个工人都是更有效率的,即E 1 >E 2

   a.在索洛增长模型中,总收入的增长率为n+g ,这与劳动力受教育水平无关。这样,这两个国家有相同的总收入增长率,因为它们有相同的人口增长率和技术进步率。

   b.因为两个国家有相同的储蓄率、相同的人口增长率和技术进步率。它们将达到同样的效率工人人均资本量k * 的稳定总水平。如图8. 4所示,稳态时,效率工人人均产出是y * =f (k * ),这在两个国家中都是一样的。但E 1 >E 2 ,所以y×E 1 >y×E 2 。也就是(Y/L )1 > (Y/L )2 ,这样,劳动力受教育程度高的国家人均收入水平也高。

Image

图8.4

  c.因为MPK 取决于效率工人人均资本量。稳定状态时,8-20 ,因为两个国家有相同的储蓄水平、相同的人口增长率和相同的技术进步率,所以 R 1 =R 2 =MPK ,资本实际租赁价格在两个国家中是相等的。

  d.总产出由于在资本收入和劳动收入中进行分割。因此,效率工人的人均工资可表示为:

ω=f (k )-MPK ·k

  正如b和c所讨论的,两个国家有相同的稳态资本存量kMPK ,因此,两个国家的人均效率工资是相等的。

  然而,工人关心人均工资而不是人均效率工资。而且我们能看到的也是人均工资,而不是人均效率工资。人均工资和人均效率工资可用下式表示:

人均工资=ωE

  这样,劳动力受教育程度高的国家人均工资更高。

  【翔高点评】 注意如何将技术融入索洛模型,以及区分人均效率工资与人均实际工资。

  6.这个问题要求你更详细地分析正文中介绍的两部门内生增长模型。

  a.用有效工人的人均产出和有效工人的人均资本重新写出制造业所制造产成品的生产函数。

  b.在这个经济中,收支相抵的投资(保持有效工人人均资本量不变所需要的投资量)是多少?

  c.写出k 变动的方程,该方程把Δk 表示成储蓄减去收支相抵的投资。用这个方程画出表示稳定状态k 如何决定的图形。(提示:这个图看起来很像我们用来分析索洛模型的图。)

  d.在这个经济中,稳定状态的人均产出Y/L 增长率是多少?储蓄率s 和在大学中的劳动力比例u 如何影响这一稳定状态增长率?

  e.用你的图表示u 提高的影响。(提示:这种变动对两条曲线都产生影响。)描述即时效应和稳定状态的效应。

  f.根据你的分析,u 的提高对经济肯定是一件好事吗?请解释。

  【重要级别】 4【难度级别】 4

  【考查要点】 超越索洛模型:内生增长理论模型,即Y=AK 模型

  【参考答案】 a.用两部门内生增长模型的生产函数:

Y=F [k ,(1-u )EL ]

   假设该模型中生产函数规模报酬不变,即zY=F [zkz (1-u )EL ]

  z= 1/EL ,则有

8-21

  y 看做是效率工人的人均产出,k 是效率工人的人均资本量,上式可改写成

y=F [k ,(1-u )]

   b. 在研究型大学生产函数中,劳动效率的增长率ΔE/E=g (u )。现在我们可以用g (u )代替不变增长率g 。为了保持效率工人人均资本率K/EL 不变,收支相抵的投资必须包含三个方面的内容:(1)δk 用来补偿折旧的资本量;(2)nk 为新工人配备资本;(3)g (u )是为研究型大学创造更高的知识存量(E )配备的资本,即收支相抵的投资为[δ+n+g (u )]k

   c.效率工人的人均资本增长是效率工人人均储蓄减去效率工人人均收支相抵的投资。我们现在利用a中的效率工人人均函数

y=F [k ,(1-u )]

   并用g (u )代替增长率为常数的g ,得到

Δk=sF [k ,(1-u )]- [δ+n+g (u )]k

   在稳定状态,Δk= 0,上式就改成

sF [k ,(1-u )]= [δ+n+g (u )]k

   在索洛模型分析中,给定一个u 值,就可以画出上式左边和右边的图像,稳态由两条曲线的交点给出。

Image

图8. 5

   d. 如上所述,稳定状态时每个效率工人人均资本量k 是不变的。因为u 是固定的,所以每个效率工人的人均产出也是固定的,而人均产出为yEEg (u )的比例增长。因此,人均产出按g (u )的比例增长。储蓄率不影响g (u ),然而,花费在研究型大学的时间影响g (u ):当花费的时间越多,稳态增长率越高。

   e.u 的增加均会使两条线移动。

   对给定的效率工人人均资本量,效率工人的人均产出下降,因为每个人花在生产上的时间变少了。这是u 变动的直接影响。因为u 增加时,资本存量k 和工人效率E 都是不变的。由于效率工人人均产出下降了,所以效率工人的人均储蓄曲线向下移动。

   同时,花在研究型大学的时间增多,提高了劳动效率增长率g (u ),因此,收支相抵的投资向上移动。图8. 6显示了这些移动。

Image

图8. 6

   在新的稳态,效率工人人均资本量从k 1 下降到k 2 ,效率工人人均产出也下降。

   f. (1)在短期,u 的上升无疑减少了消费。如在e中论证的那样,其直接影响就是减少产出,因为花更少的时间去进行生产,而花更多的时间在研究型大学以扩展知识存量。对任一给定的储蓄率,产出的减少意味着消费的减少。

   (2)在长期,对稳态的影响更加微妙。由e可知,在稳态时效率工人人均产出下降。但福利取决于人均产出(和消费),而不是效率工人的人均产出。花更多的时间在研究型大学里意味着E 增长得更快,即人均产出等于yE 。虽然在稳态时,y 下降,但在长期中,E 的增长率快速增加是占主要地位的。所以在长期,消费必然会提高。

   然而,由于消费在初始时会下降,u 的提高并不是件好事,即关心当代人更甚于下一代的政策制定者可能不准备实施使u 增加的政策。

   【翔高点评】 本题是教材中模型的进一步应用,读者通过本题可以更深地了解内生增长模型,也可以看出模型如何解释经济问题,注意模型的灵活应用。

更多的问题与应用

  1.在Solovia这个经济中,资本所有者得到了2/3的国民收入,而工人得到了1/3。

  a.Solovia的男人留在家里从事家务劳动,而妇女在工厂工作,如果一些男人开始走出家门工作,以致劳动力增加了5%,该经济衡量出来的产出会发生什么变动?劳动生产率——定义为工人的人均产出——是提高了、下降了,还是保持不变?全要素增长率提高了、下降了,还是保持不变?

  b.在第1年中,资本存量为6,劳动投入为3,产出为12。在第2年中,资本存量为7,劳动投入为4,产出为14。在这两年间,全要素生产率发生了什么变动?

  【重要级别】 3【难度级别】 3

  【考查要点】 经济增长源泉的核算

  【参考答案】 a.全要素生产率公式ΔY/Y=α ΔK/K+ (1L/L+ ΔA/Aα 是资本的产出份额。

   我们知道总产出Y 的增长取决于劳动L 、资本K 和全要素生产率A 的增长率。

   将ΔL/L= 5%,ΔK/K= ΔA/A= 0代入上述方程可得:

   ΔY/Y= 5%× 1/ 3= 1. 67%

  所以劳动投入5%,使产出增加1.67%。

   劳动生产率是Y/L ,劳动生产率的增长可写成

8-22

   代入产出增长率和劳动力增长率,可得

   8-23

   劳动生产率下降3. 33%。

   全要素生产率为:

ΔA/A= ΔY/Y-α ΔK/K- (1L/L

   可得:8-24

   全要素增长率是解释了可以衡量的增长决定因素后留下的产出增长率。该例中,技术未变,所以所有的产出增加均归因于可衡量的投入要素的增长,即全要素生产率增长为零。

   b.从第一年到第二年,资本存量增加了1/ 6,劳动投入增加了1/ 3,产出增加了1/ 6,全要素的增长率由下式给出:

ΔA/A= ΔY/Y-α ΔK/K- (1L/L

   代入上述数值,设α= 2/ 3,得

   8-25

   全要素生产率下降1/ 18,约为5. 6%。

   【翔高点评】 题目不是很难,但可以说明全要素生产率的计算是通过间接的方法计算出来的。

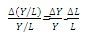
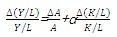
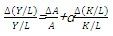
  2.把劳动生产率定义为Y/L ,即产出量除以劳动投入量。从增长核算方程开始,证明:劳动生产率的增长取决于全要素生产率的增长和资本与劳动之比的增长。特别地,证明:

8-26

   (提示:你会发现下面的数学技巧是有所帮助的。如果z=wx ,那么,z 的增长率近似等于w 的增长率加x 的增长率。也就是说,Δz/z ≈Δw/w+ Δx/x 。)

  【重要级别】 3【难度级别】 3

  【考查要点】 经济增长源泉的核算

  【参考答案】

   证明:根据定义,产出Y 等于劳动生产率(Y/L )乘以劳动量(L ),即

Y= (Y/L )L

   利用提示中的数学技巧,有

8-27

   移项得

8-28

8-29

   再利用同样的数学技巧,有

8-30

   把此式代入劳动生产率增长方程中,可得

8-31

   【翔高点评】 从课后一些习题读者也可以看出,在掌握基础模型和原理的基础上要灵活应用和转化变量、灵活应用公式等。

  3.假定索洛模型所描述的一个经济处于人口增长n 为每年1.8%,技术进步g 为每年1.8%的稳定状态。总产出和总资本以每年3.6%的速度增长。再假定产出中资本的份额为1/3。如果你用增长核算方程把产出的增长分为三个源泉——资本、劳动以及全要素生产率,那么,你认为每一个源泉的产出增长是多少?比较你的结果和表8.3中(见原书)所发现的美国的数字。

  【重要级别】 2【难度级别】 3

  【考查要点】 经济增长源泉的核算

  【参考答案】 由已知

ΔY/Y=n+g= 3. 6%

ΔK/K= 3. 6%

ΔL/L=n= 1. 8%

资本份额α= 1/ 3

劳动份额1-α= 2/ 3

代入数据,算出各种要素对经济的贡献,进而得到全要素生产率增长对经济的贡献,用下列方程

产出增长= 经济贡献率+ 劳动贡献率+ 全要素生产率

8-32

3.6%=(1/3)(3.6%)+(2/3)(1.8%)+ ΔA/A

   因此可解出ΔA/A= 1. 2%。

  即资本每年增长对经济贡献1.2%,劳动1.2%,全要素生产率提高1.2%。

   计算得出的结果和表中美国的数字比较相近,但是在美国的数据中全要素生产率的份额没有那么大,而经济增长更多的是依靠劳动和资本的扩张。

   【翔高点评】 读者要理解处理百分比变动的两种算术技巧(教材中也提过)。

   (1)两变量乘积的百分比变动近似地等于每个变量的百分比变动之和。

   考虑一个例子,设P 表示GDP平减指数,Y 表示实际GDP。名义GDP为P×Y 。这种技巧表明:

P×Y 变动的百分比≈P 变动的百分比+Y 变动的百分比

   (2)一个比率的百分比变动近似地等于分子的百分比变动减去分母的百分比变动。

   再考虑一个例子,设Y 表示GDP,而L 表示人口,因此,Y/L 是人均GDP。第二个技巧表明:

Y/L 变动的百分比≈Y 变动的百分比-L 变动的百分比