第九天 赫拉克利特

赫拉克利特(Heraclitus)

公元前544—公元前484年

古希腊的以弗所

“世界是一团永恒的活火。”

对于万物本原,古希腊这里我们已经介绍了泰勒斯的水,阿那克西曼德的阿派朗,克塞诺芬尼的水和土,以及阿那克西美尼的气,现在就缺一把火了。

这把火是赫拉克利特点燃的。赫拉克利特的火是一种循环复生的火:火灭后生气,气灭后生水,水灭后生土,土灭后生火……嗯,有似曾相识的感觉是吧?不过古希腊的这种五行相生,味道和咱中土的还真不太一样,没有金和木却多了气,就像那意大利的饺子,说是饺子,一口下去,满嘴芝士,说好的白菜猪肉呢?说好的韭菜鸡蛋呢?

赫拉克利特和泰勒斯不同的是,他出生的时代更晚,也因此可以看得比较透,想得比较深。他认为,在火里面,还有一把衡量火的比例尺,那就是逻各斯。这个逻各斯理解起来相当麻烦,如果要强行解释的话,可以先把火比喻成货币,再把逻各斯比喻成货币的价值。

我们先看这火。在赫拉克利特眼里,火一直是在转换之中的:火死生土,土死生水,水死生气,气死生火,这是一个生生不息的过程,虽然其中每一个元素,都会经历出生和死亡,但没有一样东西,会突然变没了,或者突然从无到有。这就像你们去超市买饼干,交出一百块钱,并不等于你什么也没了,你换到一堆巧克力。而这一堆巧克力被你吃完后,也不是没有了,而是变成了一堆拉出来的 。所以,万物都会转换为火,火又会转换为万物,这火就是相当于你们手里的货币。货币可以买一切,一切又可以换成货币。

接下来,赫拉克利特又认为,火的燃烧和熄灭,是有分寸感的,它总是在一定分寸上燃烧,在一定分寸上熄灭。烧多大的火,烧多久,它都心里有数。那为什么它能做到心里有数呢?这是因为它有逻各斯。逻各斯是比例尺度,丈量着火的分寸,该烧多大,烧多久,它是永恒的,就好比你今天用一百块买一堆巧克力,过几个月一百块还是可以买一堆巧克力。当然,这是比喻,我们其实排除了通货膨胀的因素。如果考虑这个因素,那巧克力其实会越买越少的。不过,要是我们假设货币没有通货膨胀,那么它的确可以被比喻成永远不变的逻各斯。

不过需要提醒的是:逻各斯虽然是衡量火变万物、万物变火的尺度,但这把比例尺却在火的变动之中,你只能抽象到它,却无法将其活生生提炼出来,并以为它是本原背后的本原。不,逻各斯只是本原的尺度,它就像是你的思想,你的思想属于你,但它不是什么站在你后面的另一个灵魂。

赫拉克利特是个贵族,但对世俗政权不感兴趣,把王冠朝他弟弟脑袋上一扣,就离群索居,不问世事了。他看不起毕达哥拉斯、赫西俄德以及克塞诺芬尼,认为他们都是知道分子,而他自己才是知识分子,才是理解逻各斯的不二人选。为此,他平时只和孩子们来往,因为在他看来孩子纯真,受污染少,比知道分子智慧得多。

赫拉克利特的文章,也跟他的为人一样,不太好打交道,相当费解,比如他那些个著名的河流比喻,原话翻译过来是这样的:

当他们踏入同一条河流,不同的水接着不同的水,从其足上流过。

拗口吗?那再来一句:

我们踏入又并非踏入同样的河流,我们是亦不是。

此外,他还有一些关于上山下山的句子,读起来也一样令人晕头转向:

上升和下降之路,是同一条。

赫拉克利特在河流比喻里想要表达的意思,往形而上去看,是一个本体论的相对主义表述,往形而下看,就是一个寻找不变量的努力尝试:每一时刻,流过足面的水,的确都不再是同样的一份水,但是,它们都属于同一条河流,所以可以把它们看成是性质一样的体元的集合。每一份体元,就好比是一滴微型的小得不能再小的液滴,每时每刻都有水元素从它里面分散着朝四面八方流出,同时又有水元素从四面八方聚拢着朝它里面流入,正如赫拉克利特所言:“它聚拢且分散,既非第一次,也非后来,而是同时……”有了体元,我们就可以进一步抽象出更多的成果,比如构造出高斯定理;同样,我们也可以从他后一个关于道路的比喻里,看到格林公式的萌芽:作为路径积分,不管你上山还是下山,反正积累的都是同一条路径,只是方向相反罢了。

其实近现代很多数学和物理上的突破,都可以回到古希腊哲学那里,回到泰勒斯、阿那克西美尼、赫拉克利特等人提出的各种或素朴或艰涩的奇思妙想里。人们也许会从中找到灵感。

赫拉克利特已经算是古希腊哲学界的怪咖了,但还有比他更加怪咖的怪咖。比如,赫拉克利特的学生克拉底鲁,就曾变本加厉地扬言,人连一次都不可能踏入那条河流。克拉底鲁怀着对这个世界深深的怨念,让任何试图与他交谈的人,得到的回答都只能是他摆动的手指头。他这么做的理由是:当你在说话时,你的语言已经和正在变化的事物不匹配了,所以你说的每句话都是错的,而为了避免自己也犯同样的错,他就不说话,只摇手指头。

不知当时有没有人吐槽过克拉底鲁:你摇手指头时,你的手指头的每一个位置变化,一定能和变化中的事物一一匹配?无论当时有过什么样的交锋,反正结果就是古希腊人很快抛弃了克拉底鲁这样的怪路子。因为这么搞下去,非常容易走向古印度的哲学道路——把所有的兴趣重点,全部转移到个人修行上,成为一种半宗教半心理学的灵修之道。这对古希腊哲学家来说,是非常难以接受的。当然,抛弃之后,必有发扬。柏拉图就在克拉底鲁这些激进看法的基础上,发扬出了他的型相(Form)学说,大意就是就算这个世界是变化无常的,但我们依旧可以思考出不变的永恒之型,也就是型相,实存于这个可感知的宇宙之上。

今天我们回顾克拉底鲁的思想成就,会发现这种类似东方冥想哲学的观念,也不是没有一点价值的。我们可以想见,克拉底鲁需要的语言,是电影《降临》里那些来自外星球的七肢桶语言:在同一时间就可以遍历整个指称网络的语言。要是让七肢桶去踏那条河流,因为它可以一次踏遍这条河流在不同时间点上的所有空间态,所以它可以做到克拉底鲁声称做不到的事情:在低速类时世界里做不到的,换到类空世界里就可以做到。在类空世界,光速不再是个限制,我们可以一次踏进这条河流的所有可能态。也许这才是克拉底鲁还没告诉我们的言外之意:那是神的境界,渺小的人类能做的,也就只能是摇摇手指头,不再言说了吧。

所以克拉底鲁后来就保持沉默了。而依样画葫芦的维特根斯坦,足足晚了两千多年,才在一番痛苦思考后做出类似回答。看来古希腊哲学在语言游戏上,由于放弃了从赫拉克利特到克拉底鲁的进路,而导致拖了西方文明进程的后腿,但也正因为拖了这条后腿,西方的科学才得以厚积薄发;否则,早早进入语言游戏,数学、物理学、逻辑学、计算机科学等有可能将全部半途夭折。权衡利弊,我们应该庆幸克拉底鲁的思想被古希腊人无情丢弃,并有机会等待在未来某一时刻,被有需要的人再度复活。每一种哲思踏入时间之河的节点必须是恰到好处,过和不及都是浪费。

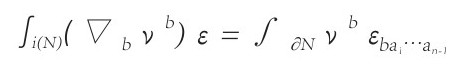
最后,让我们默写一遍一般形式的高斯定理,虽然这个定理的表达式写出来有些晦涩,但要是没有随后无数次数学家们恰到好处地踏入,今天你连这个美得令人头晕的机会都无缘碰到。

推荐阅读:《赫拉克利特著作残篇》